网站首页  词典首页


请输入您要查询的字词:

 

字词 食品中呈味核苷酸二钠的测定
类别 中英文字词句释义及详细解析
释义

食品中呈味核苷酸二钠的测定


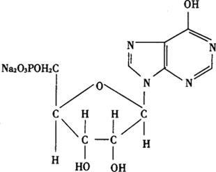
化学名:5′-肌苷酸二钠,5′-鸟苷酸二钠5′-肌苷酸二钠(GMP)

结构式:

分子式:C10H11N4Na2O8P·XH2O

相对分子质量(无水):392.17

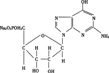
5′-鸟苷酸二钠

结构式:

分子式:C10H12N5Na2O8P·XH2O

相对分子质量(无水):407.19

一、呈味核苷酸二钠的鉴别

1.试剂和溶液

1.1 异丙醇。

1.2 硫酸铵。

1.3 展开溶液 饱和硫酸铵∶异丙醇∶水=79∶2∶19(体积比)。

1.4 滤纸 新华层析滤纸Ⅲ号。

2.仪器

2.1 紫外分析仪(波长254nm)。

2.2 微量注射器。

2.3 紫外分光光度计,带10mm石英比色皿。

3.操作步骤

3.1 试样液的制备 称取样品1.0g(准确至0.0001g),用水溶解并稀释至100mL,取10.0μL,用新华Ⅲ号滤纸点样,于展开溶液中展开30cm,取出晾干或烘干,在紫外分析仪中划出紫外吸收斑点(IMP与GMP),分别剪于两支Φ10mm×100mm的小试管中,各加0.01mol/LHCl溶液4.0mL;将试管放入80℃恒温水浴,保温30min,冷却,即为含有IMP与GMP的试样液。

3.2 最大吸收波长的测定 分别将试样液倒入1cm光程石英比色杯中,在240~265nm范围内,以0.01mol/LHCl溶液作空白,用紫外分光光度计分别测定其最大吸收波长。

4.结果处理

最大吸收波长在(250±2)nm内,即为IMP;最大吸收波长在(256±2)nm内,即为GMP。

二、IMP和GMP总含量的测定

1.操作步骤

将IMP与GMP的试样液分别倒入1cm光程石英比色杯中,以0.01mol/LHCl溶液作空白,用紫外分光光度计,在250nm、260nm处分别测定IMP与GMP的最大紫外吸光度。

2.分析结果的表述

2.1 IMP含量计算

式中 400——稀释倍数

527——IMP的相对分子质量

11.7×103——IMP的摩尔吸光系数

0.1——样品定容体积,L

m1——样品质量,g

A1——IMP在波长250nm处的吸光度

2.2 GMP含量计算

式中 400——稀释倍数

533——GMP的相对分子质量

12.2×103——GMP的摩尔吸光系数

0.1——样品定容体积,L

m2——样品质量,g

A2——GMP在波长260nm处的吸光度

2.3 含量(IMP加GMP)计算

w=w1+w2 (8-6)

式中 w——质量分数(IMP加GMP),%

w1——IMP质量分数,%

w2——GMP质量分数,%

3.允许差

同一样品两次测定值之差,不得超过1%。

三、食品中呈味核苷酸二钠的测定

见本章第一节和第二节。

随便看

 

离鸟网收录3541549条中英文词条,其功能与新华字典、现代汉语词典、牛津高阶英汉词典等各类中英文词典类似,基本涵盖了全部常用中英文字词句的读音、释义及用法,是语言学习和写作的有利工具。

 

Copyright © 2004-2024 vtrois.com All Rights Reserved
更新时间:2026/4/20 22:51:06