网站首页  词典首页


请输入您要查询的字词:

 

字词 频率稳定度
类别 中英文字词句释义及详细解析
释义

频率稳定度


任何频标内都存在噪声,主要有快速变化的白噪声,较慢变化的闪变噪声和更慢变化的无规行走噪声。这些噪声会对频标输出信号的相位和频率进行调制,结果引起频率随机性的变化。定量的描述这种变化程度的量称为频率稳定度。

如前所述,实际测量时只能得到频率在一段时间内的平均值,即y(τ)值。在描述频率稳定度时,平均时间τ称为取样时间,取样时间不同,y(τ)的起伏程度也不同,如图8.4-2所示。

图8.4-2 频率的随机起伏

确切的说,频率稳定度是描述平均频率随机起伏程度的量,数学表征用Allan(阿兰)方差的平方根值。

为什么采用Allan方差,而不用一般统计学上的经典方差?详细论证要涉及到比较复杂的数学,这里只作些简单的介绍。

1.经典方差

设X为一随机变量,其无限个可能值的平均值称为数学期望,用E(x)表示

为推导方便,用符号〈…〉表示数学期望。

经典方差为

σ2=<[x-<x>]2> (8.4-7)

表示随机变量x相对其数学期望的离散(起伏)程度。

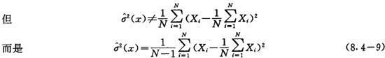
实际测量时只能得到有限个值,通过计算求出无限平均的近似值,在统计学上称为估计值。分别用表示。一个好的估计值应满足无偏性和一致性两点要求。由此有:

即随机变量有限个值的算术平均值就是其无限平均的最好估计值。

尽管当N足够大时,右式中除以N和除以N-1无多大差别,但理论上只有后者才满足无偏性的要求。

作为σ2的估计值要有一个前提,即理论上证明σ2确实存在,实际测量计算时,随着N的加大,值应逐渐稳定,即是收敛的。在其他领域出现的随机变量几乎都满足这一前提,故(8.4-9)式一直被普遍使用。

1966年前美国国家标准局(NBS)的Allan博士在测试计算原子频标的稳定度时,发现随着N值的加大,也跟着加大,并不趋向一个稳定的值,而呈发散状态。随后,他就进行理论推导,发现闪变噪声对频标信号的频率调制后,造成用(8.4-7)计算的经典方差是发散的,即不存在,或者说呈无限大值。这样,就无法用一个有限值去作为它的估计值。因而就不能再用频率这种随机变量的经典方差去描述它的起伏程度。Allan提出了一种改进的方差来表征频率稳定度,即Allan方差。

2.Allan方差

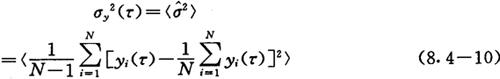
由于噪声调制的结果,使得相对平均频率编差y(τ)成为一个随机变量。其中闪变噪声的调频又造成y(τ)的经典方差呈发散特性。Allan对经典方差的估计值(8.4-9式)进行深入研究,发现此估计值的数学期望对各种噪声却都是收敛的。于是就提出可用这个数学期望表征频率的随机起伏,用σy2(τ)表式,即

式中的N称为取样个数,即所测得的y(τ)的个数。此式的含意是每取N个y(τ)后即可算出一个估计值,进行无数回测量,(注意每回测量时取样个数都是一样的)可得元数个值,取其平均即为。显然,N不同,所得的值也不同。为统一起见,Allan建议取N=2,代入后可得。

后来人们就把这个量称为Allan方差。由于每回测量只取两个y(τ)的值,进行无数回测量后再平均,所以又称为对方差。

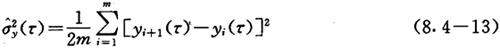
同样,实际应用时,只能计算的估计值,如前所述,一个随机变量(此处为[y2(τ)-y1(τ)]2)的无数次取样的平均值的无偏估计就是其有限取样的算术平均值。即

式中的m称为取样组数,每一组中只包含两个y(τ)值。此外,相继两次测量y(τ)时的间隔称为取样周期,用T表示T>τ时称为间隙取样,T-τ为间隙时间;T=τ时为无间隙取样,理论上已证明,T/τ为不同值时,所得的Allan方差或其估计值也不同。所以Allan又建议,对于每一组内的两个y(τ)值采用无间隙取样。组与组之间有无间隙以及间隙的大小在理论上无影响。如图8.4-3所示。

图8.4-3 Allan方差取样示意图

这样,y(τ)的实际取样个数将为2m。在实用时为节省总的测量时间,理论证明,如所有取样之间均无间隙,且y1(τ)与y2(τ)为一组,y2(τ)与y3(τ)为一组……。所计算的结果与按图8.4-3的取样方式计算结果是一样的,这样,总的取样个数可缩减到m+1个。计算公式可变为

这就是目前Allan方差的实用定义式,而频率稳定度用它的平方根表征。并把符号简化为σy(τ)即:

由于定义时要求取样是无间隙的,这会使测量设备变得复杂。通过理论证明和实验验证,可用有间隙取样代替,只要间隙时间小于5秒,代替后的误差会小于10%,这对频率稳定度的量值而言,可以忽略。故在实际测量时,可用无间隙取样,也可用有间隙取样,计算公式无变化。

最后是取样组数m的规定,一般当取样时间τ≤10s时,取m=100,τ≥100s时取m=30。这要看实际情况,特别当τ较大时,m太大令总的测量时间太长。故在我国检定原子频标的日稳定度(注意不要与日飘移率混淆)时,通常取m=15。

此外,还应指出(8.4-14)式给出的结果是Allan的方差的估计值的平方根值,故所计算的值σy(τ)也还是个随机变量。它意味着,对于同一频标的同一取样时间的稳定度,进行多次测定时,所得的结果是不一样的,但其差别不会超过

【参考文献】:

[1]王义遒等,量子频标原理,科学出版社,1986。

[2]吴守贤等,时间与频率,科学出版社,1983。

[3]黄秉英等,时间频率的精确测量,计量出版社,1986。

[4]王江现代测量技术,计量出版社,1987。

[5]P. Kartaschoff ,Frequency and Time,Academic Press ,1978.

[6]J. A. Barnes et al. ,Characterization of frequency stability, IEEE Trans Instrum Meas. IM —20,p.105—120,1971.

[7]Time and frequency:Theory and Fundamentals,NBS Manograph 140,1974.

[8]D. W. Allan ,The measurement of fruquency and frequency stability of precision oscillator,Proc.6th Ann PTTI Planning Meeting.

[9]Annual Report of the BIPM Time Sectina,1974.

随便看

 

离鸟网收录3541549条中英文词条,其功能与新华字典、现代汉语词典、牛津高阶英汉词典等各类中英文词典类似,基本涵盖了全部常用中英文字词句的读音、释义及用法,是语言学习和写作的有利工具。

 

Copyright © 2004-2024 vtrois.com All Rights Reserved
更新时间:2026/4/18 19:18:21