网站首页  词典首页


请输入您要查询的字词:

 

字词 频差倍增—综合—测周期法
类别 中英文字词句释义及详细解析
释义

频差倍增—综合—测周期法


用普通计数器直接测量,当被测信号的频率较低时,采用测信号周期的办法,可以获得较高的测量分辨率,其值为dy(τ)=τ0/τ,τ为计数器闸门打开的时间,等于被测信号周期的整数倍,例如,若信号频率为1kHz,欲使τ=1s,则为被测信号周期的1000倍。τ0为测量时选用的时基,一般计数器可选到0.1μs。

对频标进行检定时,一个很重要的技术指标是频率稳定度,而这一指标又要求相应的取样时间,通常为1ms,10ms,100ms,1s和10s。当用计数器直接测频时,这些时间由闸门发生器提供,通用计数器均能给出这几种时间,但测信号周期时,闸门时间是由信号周期决定,计数器具有测多个周期的功能,一般能测1,10,100,1000和10000个周期,但要使此时的闸门时间能满足上述取样时间的要求,被测信号的周期必须为1ms。若直接选取被检频标与参考频标的差频信号作为计数器的测量信号,将无法满足取样时间的要求。为此在频差倍增测周期方法中,加入一个综合器,产生1kHz的附加信号,以满足所要求的取样时间。

1.工作原理

如图8.5-5所示

图8.5-5 倍增-综合-测周期法

频差倍增后的输出频率为

fN=fr+mnΔf

与综合器输出频率相减得

F=fN-(fr-fs)

=fs+mnΔf

计数器利用测周期法测定F值。

2.测量分辨率

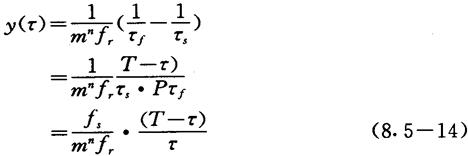
一般取fs=1kHz,因Δf很小,故F≈fs即F的标称值也为1kHz。测量时通过周期扩展得到所需的取样时间,即闸门时间τ。设,τ=Pτf,当P为1,10,102,103,104时,对应的取样时间为1ms,10ms,100ms,1s和10s。

,T=Pτs

则(8.5-11)式变为

T为取样时间的标称值,τ是计数器测量后直接显示的值,为计算方便,分母中的τ可以用T代替,代替误差可以忽略,则y(τ)的实用计算公式为

例如:若m=10,n=3,fr=1MHz,fs=1kHz,T=1s,测出的值τ=1.000123s

负号表明被测频率实际值比标称值低。

测量分辨率

若测量时选用的时基为τ0,则由±1计数引起的dτ=±τ0,故有

若τ0=0.1μs,其他参数仍取上例中的值,则对于T=1s的取样时间

dy(τ)=1×10-13

【参考文献】:

[1]王义遒等,量子频标原理,科学出版社,1986。

[2]吴守贤等,时间与频率,科学出版社,1983。

[3]黄秉英等,时间频率的精确测量,计量出版社,1986。

[4]王江现代测量技术,计量出版社,1987。

[5]P. Kartaschoff ,Frequency and Time,Academic Press ,1978.

[6]J. A. Barnes et al. ,Characterization of frequency stability, IEEE Trans Instrum Meas. IM —20,p.105—120,1971.

[7]Time and frequency:Theory and Fundamentals,NBS Manograph 140,1974.

[8]D. W. Allan ,The measurement of fruquency and frequency stability of precision oscillator,Proc.6th Ann PTTI Planning Meeting.

[9]Annual Report of the BIPM Time Sectina,1974.

随便看

 

离鸟网收录3541549条中英文词条,其功能与新华字典、现代汉语词典、牛津高阶英汉词典等各类中英文词典类似,基本涵盖了全部常用中英文字词句的读音、释义及用法,是语言学习和写作的有利工具。

 

Copyright © 2004-2024 vtrois.com All Rights Reserved
更新时间:2026/4/18 18:59:45