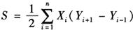
1.坐标解析法
1)根据界址点坐标成果表上数据,按下式计算面积。

或

式中 S——面积(m2);
Xi——界址点的纵坐标(m);
Yi——界址点的横坐标(m);
n——界址点个数;
i——界址点序号,按顺时针方向顺编。
2)面积中误差按下式计算。

式中 ms——面积中误差(m2);
mj——相应等级界址点规定的点位中误差(m);
Di-1,i+1——多边形中对角线长度(m)。
2.实地量距法
1)规则图形,可根据实地丈量的边长直接计算面积;不规则图形,将其分割成简单的几何图形,然后分别计算面积。
2)面积误差按规定计算,其精度等级的使用范围,由各城市的房地产行政主管部门根据当地的实际情况决定。
3.图解法
图上量算面积,可选用求积仪法、几何图形法等方法。图上面积测算均应独立进行两次。
两次量算面积较差不得超过下式规定:

式中 △S——两次量算面积较差(m2);
S——所量算面积(m2);
M——图的比例尺分母。
使用图解法量算面积时,图形面积不应小于5cm2。图上量距应量至0.2mm。