网站首页  词典首页


请输入您要查询的字词:

 

字词 非线性条件下和概率条件下的保本点分析
类别 中英文字词句释义及详细解析
释义

非线性条件下和概率条件下的保本点分析


一、非线性条件下的保本点分析

(一)计算非线性条件下保本点的意义

在前述确定条件下,有关产品的价格,成本诸因素是保持不变的,因而,销售收入总额同成本总额之间的相互关素呈线性状态。然而在实际工作中,由于多种原因的影响,某些产品的销售收入总额和成本总额有时并不同其销售数量成比例地变动,二者之间不是表现在直线关系,而是表现为曲线关系。这是因为,在市场供求关系的影响下,某种产品的销售数量要有所增加,其销售价格将要随之不断降低。或者为了实现薄利多销,往往在增加销售量的同时需要不断降低产品销售价格。在这种情况下,销售收入总额将会以递减的变动率增加。在有关产品产量增长的初始阶段,由于生产管理水平,产品加工工艺和工人熟练程度的限制,生产中材料和人工消耗可能较多,致使变动成本总额以递增的速度上升。当产量增长到一定程度后,由于随着材料用量的增加可以获得较多的数量折扣,而使生产中所耗材料的平均单价相应的降低,也可能由于生产管理、加工工艺的改进,工人劳动熟练程度的提高,从而使单位产品人工、材料成本有所降低,出现单位变动成本下降的趋势,变动成本总额即以递减的变动率增加。然而,当生产量进一步扩大以致超过了生产能力的正常范围时,某些不利的经济因素将产生影响,如临时采购原材料所增加的费用大于所获得的数量折扣,生产工人过度疲劳而使生产效率降低、废品损失增加而使单位产品材料、人工成本相应增加,因而,单位变动成本呈上升趋势,变动成本总额又以递增的变动率增加。

根据以上所述收入总额和成本总额的变化关系可知,在非线性条件下,至少存在着两个转折点。这就是说,随着产销量的增加,企业将由亏转盈,以第一个保本点为转折点。由此点开始,企业的盈利随着产销量的增加而增加。但当产销量的增加超过一定的限度,企业的盈利却随着产销量的增加而不断减少,最后又由盈转亏,以第二个保本点为转折点。

显然,非线性条件下总收入,总成本同产销量的相互关系,以及与之相应的企业经营盈亏的变化,对企业管理者来说,无疑将带来极为有益的启示。它们可以帮助企业管理者全面认识成本、产量、利润三者之间的依存关系,正确把握未来一定期间内有关产品的合理产销量界限,为加强管理,改进工作创造有利条件;为增加收入,降低成本,提高企业盈利水平提供科学依据。

(二)非线性条件下保本点的计算方法

在非线性条件下,若用x代表产品的产销数量,则总收入(TR)函数应为:

TR=fx-gx2

总成本(TC)函数应为:

TC=a+bx+cx2

利润(P)函数应为:

P=TR-TC

=fx-gx2-(a+bx+cx2

=-a+(f-b)x-(c+g)x2

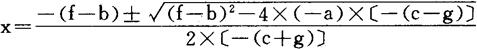
令P=0,则:

上式即为非线性条件下保本点的计算公式。

现举例说明非线性条件睛保本点的计算方法。

〔例〕某企业经营某种产品,经调查测算,确认其总收入函数为:

TR=170x-0.02x2

总成本函数为:

TC=1248+40x-0.5x2

现要求确定该产品的保本点。具体计算方法如下:

将总收入函数和总成本函数中的有关数值代入公式,得:

计算结果表明,在现在条件下,该产品的第一个保本点为10件,第二个保本点为240件。其中10件为由亏转盈的的产销量,240件为由盈转亏的产销量。

二、概率条件下的保本分析

(一)计算概率条件下保本点的意义

在上一节中,保本点的计算都是在有关因素处于完全肯定的状态下进行的。但在实际工作中,由于主观条件的影响,企业所经营的有关产品的销售价格变动成本和固定成本可能有两种或两种以上的预期水平。这样一来,某种产品的保本销售量就不能用前述有关分工间接进行计算,而需要在分析、测算的基础上,确定产品价格,成本诸因素所具有的各种不同预期水平出现的可能性的大小,借助概率分析方法,计算求得该种产品最有可能的保本销售量。通过概率条件下保本点的计算,明显地增强了保本分析的实用性,使它能在较为复杂的情况下,为企业管理者规划未来的生产经营活动提供更加有用的信息。

(二)概率条件下保本点的计算方法

一般说来,概率条件下保本点的计算程序包括以下四个基本步骤:

首先,对有关产品可能出现的若干种不同预期水平的价格、成本数额及其概率作出估计;

其次,计算每一种预期价格、成本水平组合下的保本点;

再次,计算第一种预期价格,成本水平组合下的联合概率:

最后,以联合概率为权数,用加权平均的方法计算各种组合下保本点的期望值。

现举例说明概率条件下保本点的计算方法。

〔例〕某企业经营某产品,通过对该产品销售价格、单位变动成本和固定成本总额的综合考察,确认有关因素可能出现的数值及概率估计,见图表4-18。

图表4-18

要求确定该产品的保本点。

按上述计算方法的要求,该产品最有可能的保本点如图表4-19所示。

图表4-19

三、保本分析原理的应用

以上从实现企业盈亏平衡进而获得预期利润的要求出发,着重说明了销售价格、单位变动成本和固定成本总额处于不同情况下的保本点的计算问题,分析了成本、数量(产销量)和利润三者之间的相互关系,考察了成本、产销量及价格的变动对企业盈亏变动的影响,并据以确立了它们在不同条件下的基本关系模型。保本分析不仅突破了传统利润分配的范围,而且丰富了原有利润管理的内容,其基本理论和基本方法可在企业管理许多方面得到有效地应用。概括地说,保本分析原理在企业内部管理中的应用主要有:

(一)应用于目标规划

目标规划是现代企业管理的重要内容,能否正确地制定目标规划,在很大程度上决定着能否正确在确立企业经营目标,能否正常而效地开展生产经营活动。然而,这一系列问题的妥善解决,却要借助于保本计算,要取决于成本、产量和利润三者关系的全面认识和科学分析。通过保本分析、不仅可在利润规划中用来计算特定条件下的预期利润,确定未来一定期间的利润目标及其实现措施;而且可以销售规划中用来确定为达到目标利润所需要的产品产销数量和销售价格,在成本规划中用来确定单位变动成本和固定成本限额,确定为保证实现利润目标而必须达到的目标。

(二)应用于决策分析

保本点的计算原理及其所揭示的成本,产销量和利润三者之间的规律性的联系,可在决策分析评价得到广泛地应用,从而有助于企业管理者制定正确的经营决策。这是因为。根据保本分析原理提出的“成本平衡”原则,既可在生产决策中解决诸如新产品应否投产,生产中采用何种工艺技术和何种加工设备,以及生产用零部件如何取得等问题,又可在定价决策中解决如何制定目标销售价格之类的问题。同时,保本分析原理还可以用来对产品开发、技术引进、设备购置等长期投资问题进行有效地分析评价。

3、应用于业绩评价

保本分析原理在利润管理和成本控制方面也能得到一定的应用,它是企业管理者对企业的生产经营活动进行严格控制的有效方法之一。这是因为,根据保本原理,一方面能科学地说明利润计划的完成情况,正确分析影响利润增减变动的真实原因,从而不断提高利润管理水平。另一方面,能确切显示不同形态的成本在完成利润计划中所起到的不同作用,从而有利于企业管理者采取相应措施,有针对性地加强成本控制。这些问题的正确解决,既有助于对企业内部各部门的工作成绩和经营效果进行科学评价,又可为明确经济责任、考核部门业绩提供主要依据。

随便看

 

离鸟网收录3541549条中英文词条,其功能与新华字典、现代汉语词典、牛津高阶英汉词典等各类中英文词典类似,基本涵盖了全部常用中英文字词句的读音、释义及用法,是语言学习和写作的有利工具。

 

Copyright © 2004-2024 vtrois.com All Rights Reserved
更新时间:2026/4/21 9:41:36