网站首页  词典首页


请输入您要查询的字词:

 

字词 随机向量
类别 中英文字词句释义及详细解析
释义

随机向量


以多个随机变量l1,l2,·,ln为其元素的列向量,称为随机向量

随机向量的期望指

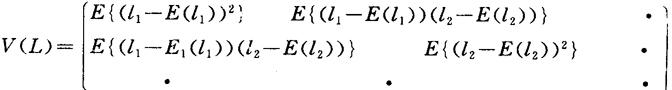
随机向量的方差指

V(L)=E{(L-E(L))(L-E(L)′} (2.3-8)

于是

主对角元素为分量方差,非主对角元素为分量间协方差。

若各分量无关,则V(L)为对角阵。反之,若V(L)为对角阵,则各分量无关。

我们有性质:若A为常数阵,则

V(AL)=A·V(L)·A′ (2.3-9)

【参考文献】:

[1]王立吉,计量学基础,中国计量出版社,1988。

[2]BIPM、IEC、IFCC,IUPAC,IUPAP,OIML,Guide to the Expression of Uncertainty in Measurement, ISO,1993.

[3]刘智敏,不确定度原理,中国计量出版社,1993。

[4]刘智敏,误差分布论,原子能出版社,1988。

[5]刘智敏,误差与数据处理,原子能出版社,1983。

[6]Liu Zhimin(刘智敏),Measurement Uncertainty and Its Correlation Combination,Proceeding of ISEM, 1993.

[7]国家计量总局量值传递处编,计量技术考核纲要,计量出版社,1981。

[8]国家技术监督局审定,刘智敏等编审,全国计量检定人员考核统一试题集第六分册三,误差及数据处理,陕西科学技术出版社,1990。

随便看

 

离鸟网收录3541549条中英文词条,其功能与新华字典、现代汉语词典、牛津高阶英汉词典等各类中英文词典类似,基本涵盖了全部常用中英文字词句的读音、释义及用法,是语言学习和写作的有利工具。

 

Copyright © 2004-2024 vtrois.com All Rights Reserved
更新时间:2026/4/21 6:39:35