网站首页  词典首页


请输入您要查询的字词:

 

字词 陶瓷物理性质的计算公式
类别 中英文字词句释义及详细解析
释义

陶瓷物理性质的计算公式


1)含水量

W——试样重量。

D——试样干燥重量(105~110℃)。

2)干燥与烧成线收缩率

Lω——成形试样的长度;

Lb——干燥后或烧成后的长度。

3)可塑水量(T)

Wp——塑性泥料重;

Wd——塑性泥料干燥重。

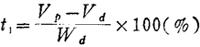
4)收缩水量(t1)

Vp——塑性泥料的体积(立方厘米);

Vd——塑性泥料的干燥后体积(立方厘米)。

5)气孔水量(t2)

t2=T-t1

6)体积收缩率(b)

7)线收缩率(a)

按(2)项公式计算,或按下式计算:

8)真比重(Gt)

P——比重瓶重;

W——比重瓶和试样重;

W1——注满水的比重瓶重;

W2——试样与注满水的比重瓶重。

9)显气孔率(Pf)

Sf——用水饱合后的烧成试样重;

Wf——干燥后的烧成试样重;

Vf——烧成试样的体积。

10)假比重(G)

11)显比重(Gb)

12)抗弯强度(M)

P——折断时的荷重;

L——支点间距;

b——试样的宽度;

d——试样的厚度;

π——圆周率,3.1416。

公式M1用于计算矩形截面的试样,M2用于计算圆柱形试样。

13)耐压强度(C)与抗张强度(T)

A——试样截面积,

14)弹性系数

h——挠度。

15)渗透率(D)(液体或气体)

V——液体在1秒钟内渗透过的体积;

F——表面积;

l——厚度;

△P——两面的压力差;

η——流体的粘度。

16)热膨胀系数(α,β)

Vt=V0(1+βt)

lt=l0(1+αt)

β≈3α

β——体膨胀系数;

α——线膨胀系数;

Vt——t℃时试样的体积;

V0——0℃时试样的体积;

lt——t℃时试样的长度;

l0——0℃时试样的长度。

17)导热系数

l——厚度;

A——断面积;

Δt——相对两面的温度差;

Q——通过断面的热量。

18)抗热冲击性(R)

S——强度(抗张强度——译注);

μ——泊松比;

E——弹性系数;

α——热膨胀系数。

随便看

 

离鸟网收录3541549条中英文词条,其功能与新华字典、现代汉语词典、牛津高阶英汉词典等各类中英文词典类似,基本涵盖了全部常用中英文字词句的读音、释义及用法,是语言学习和写作的有利工具。

 

Copyright © 2004-2024 vtrois.com All Rights Reserved
更新时间:2026/4/21 12:22:10