对消费者风险态度(风险回避或爱好)的一种量度。若消费者的效用函数是:
U=U(ω)
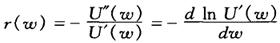
则阿罗-普拉特(绝对)风险回避测度(r)为:

并且当r(ω)>0时,消费者为风险回避者;当r(ω)=0时,消费者为风险中立者;当r(ω)<0时,消费者为风险爱好者。r(ω)是一种对局部风险态度的度量,即当|r(ω)|越大时,在ω附近,消费者风险回避(当r(ω)>0时)或风险爱好(当r(ω)<0时)的程度越大;当|r(ω)|越小时,在ω附近,消费者风险回避或风险爱好的程度越小。从直观上看,效用函数越凹(或越凸),消费者回避(或爱好)风险的程度越大,由此效用函数的二阶偏导数可以衡量其弯曲程度。但在正单调变换下,消费者偏好并没有改变,而变换后效用函数的二阶偏导数却改变了,因此除以一阶偏导数是为了消除这种影响。
r(ω)也是一种绝对风险回避的度量,因为消费者在不同的状态下获得的财富是以绝对数表示的。