网站首页  词典首页


请输入您要查询的字词:

 

字词 阻力计算
类别 中英文字词句释义及详细解析
释义

阻力计算


1.给水管的阻力计算

水在流动过程中,用于克服阻力而损耗的机械能,称总水头损失,其计算方法如下:

(1)精确算法

式中 H2——总水头损失,m

h1——沿程水头损失,m

h2——局部水头损失,m

i——单位管长的水头损失,mm/m(见表6-4-41)

L——管长

ζ——局部阻力系数(见表6—4-43)

v——流速,m/s

g——重力加速度,9.8m/s2

(2)概略算法

H2=h1+h2=h1+(0.1~0.3)h1=(1.1~1.3)h1

式中符号同精确算法

2.蒸汽管的阻力计算

(1)蒸汽管在同一管道,同一流速,不同蒸汽压下的蒸汽流量及阻力损失每小时的蒸汽流量及阻力损失均不同,见表6-4-43。计算公式如下:

表6-4-43 局部阻力系数

计算公式为

式中 Q1、Q2——两根等径管道中的蒸汽流量,t/h

P1、P2——两根等径管道中的蒸汽表压,kPa

i1、i2——两根等径管道中,不同蒸汽表压时的每米压力降,mmH2O/m

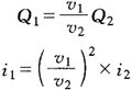
(2)在相同压力下,蒸汽流量及阻力损失 计算公式如下:

式中 Q1、Q2、i1、i2——均同上式

v1、v2——相同压力下不同流速时的每米压力降,mmH2O/m

注:1mmH2O/m=9.80665Pa/m。

随便看

 

离鸟网收录3541549条中英文词条,其功能与新华字典、现代汉语词典、牛津高阶英汉词典等各类中英文词典类似,基本涵盖了全部常用中英文字词句的读音、释义及用法,是语言学习和写作的有利工具。

 

Copyright © 2004-2024 vtrois.com All Rights Reserved
更新时间:2026/4/19 15:26:28