表示效用的最大值与商品价格和消费者收入之间的关系。
由根据效用最大化一阶条件所求出的各商品马歇尔需求函数带入效用函数导出。设直接效用函数为:
,
马歇尔需求函数为:
xi=xi(p,m), i=1,2,…,n

间接效用函数定义为:

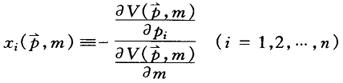
对于给定的价格向量和收入,间接效用函数等于在相应最佳消费束处的直接效用函数值。间接效用函数的优点在于,由它可以直接导出马歇尔需求函数而不需要最优化过程,其方法由罗伊(Roys)恒等式给出,即:

间接效用函数具有以下性质:
(1)V(
,m)对所有的
,m>0都是连续的;
(2)V(
,m)是关于
的非递增函数,即
;
(3)V(
,m)对m是非递减函数,即
;
(4)V(
,m)是关于p的拟凸函数,即
对所有的实数k都是一个凸集;
(5)V(
,m)对(
,m)具有零阶齐次性,即
,其中t是任意非零常数。
间接效用函数与支出函数的关系是:

式中,E(
,u)是支出函数。
〖参〗效用函数
马歇尔需求函数
支出函数