网站首页  词典首页


请输入您要查询的字词:

 

字词 长期负债的核算
类别 中英文字词句释义及详细解析
释义

长期负债的核算


长期负债包括长期借款、应付公司债券、融资租入固定资产应付款等。

长期负债的核算应按其种类分别设置帐户进行反映,并在资产负债表中分别列项反映。其明细帐应当按照货币种类和户名等设置,进行明细核算。对于长期负债中将于一年内到期支付的部分,应在年度资产负债表流动负债类下单列项目反映。

一、外商投资企业长期借款

长期借款是指外商投资企业从银行和其他单位借入的、偿还期在一年以上的借款。长期借款按偿还方式,可分为到期一次偿还的长期借款和分期偿还的长期借款。长期借款利息的支付方式有分期支付方式和到期一次还本付息方式。但不论采取哪一种方式,长期借款的利息应当根据权责发生制,按照借款合同规定的利率逐期计算并反映。长期借款利息视借款的目的作不同的处理。长期借款用于购置或者建造固定资产和无形资产时,若所购建的资产尚未交付使用,或者虽已交付使用但尚未办理竣工决算,其支出的利息费用应当计入有关资产的购建成本。对于筹建期间的利息费用,应当计入开办费;在生产经营期间的利息费用,则应当作为本期费用。

[例5]澳美公司于1991年1月1日向银行借入为期4年的美元长期借款US$200000,年利率10%,利息按年支付,到期一次还本,其帐务处理如下:

(1)1991年1月1日借入时汇率为3.72,其会计分录为:

借:银行存款——美元户 US$200000 @3.72 ¥744000.00

贷:长期借款 US$200000 @3.72 ¥744000.00

(2)1991年末、1992年末和1993年末分别支付利息US$20000,汇率分别为4.22、4.71和5.22,会计分录分别为:

借:财务费用——利息支出 84400.00

贷:银行存款——美元户 US$200000 @4.22 ¥84400.00

借:财务费用——利息支出 94200.00

贷:银行存款——美元户 US$20000 @4.71 ¥94200.00

借:财务费用——利息支出 104400.00

贷:银行存款——美元户 US$20000 @5.22 ¥104400.00

(3)1994年末偿还借款本金 US$200000,并支付本年利息US$20000,汇率为5.30。其会计分录为:

借:长期借款 US$200000 @5.30 ¥1060000.00

财务费用——利息支出 106000.00

贷:银行存款——美元户 US$220000 @5.30 ¥1166000.00

[例6]雅维尔外商投资公司1991年1月1日借入为期三年人民币借款240000元,年利率9%,分别在第一年末,第二年末和第三年末偿付借款金额的1/3,同时支付利息,该项借款用于厂房改造,工程于第二年末完工交付使用。其帐务处理如下:

(1)1991年1月1日,借入借款,记:

借:银行存款——人民币户 240000.00

贷:长期借款 240000.00

(2)1991年12月31日,偿还80000元,同时支付利息21600元(240000×9%),记:

借:长期借款 80000.00

在建工程——工程管理费 21600.00

贷:银行存款——人民币户 101600.00

(3)1992年12月31日,偿还80000元,同时支付利息14400元(160000×9%),记:

借:长期借款 80000.00

在建工程——工程管理费 14400.00

贷:银行存款——人民币户 94400.00

(4)1993年12月31日,偿还80000元,同时支付利息7200元(80000×9%),记:

借:长期借款 80000.00

财务费用——利息支出 22600.00

贷:银行存款——人民币户 87200.00

二、公司债券

公司债券是公司向社会集资而发行的一种有价证券。债券的票面上载明还本期和本金金额(即债券面值),以及付息时间和约定的利率,外商投资企业举债应按债券规定的时间和利率定期向债券持有者支付利息,债券到期即应按面值偿还本金。

外商投资企业发行公司债券,由公司董事会讨论决定,并报经有关政府主管部门审查批准。发行公司债券时,应订立信托合同,就所有有关债券的重要事项,诸如公司债券发行的方式、提供的担保品、为举债公司限定的债务总额度、提前还本的条件、以及其他保障债券持有人利益的措施等,作出明确规定。通常由一家银行或一家信托公司作为信托人,由其负责保管信托合同,并代表债券购买者(公司的债权人)的利益,监督信托合同的执行。

公司债券的发行,一般委托银行或投资公司或其他金融机构代销。企业向代销机构支付的手续费,应当直接计入财务费用。

公司债券可按是否记名,有无担保和偿还方式及付息方式等标准进行分类。按是否记名分,公司债券可分为记名公司债券和不记名公司债券,前者是指在债券上注明债券持有者姓名,债券持有者须凭债券和本人印鉴方能领取本息。后者则在债券票面上不注明持有者姓名。按有无担保分,公司债券可分为有担保公司债券和信用公司债券。有担保公司债券是指以某些特定财产作为抵押品的公司债券,信用公司债券是指没有担保品,全凭发行公司的信誉的公司债券。按偿还方式分,公司债券可分为一次还本公司债券和分期还本公司债券。一次还本是在到期日一次偿还本金,分期还本则是指在指定日期分批清偿,归还本金。按利息支付方式分,公司债券可分为到期一次支付利息债券和分期支付利息债券。

1.公司债券的发行价格

公司债券上都规定了利率,称为“票面利率”,用于计算应支付的利息。这一利率是固定不变的。但是由于金融市场的不断变动,票面利率与发行时市场利率(亦称实际利率)可能相同,也可能不同,因而公司债券的实际价值与其面值可能相等,也可能不相等。

[例7]卡尔外商投资公司1994年5月1日发行面值为200元的公司债券共10000张,总额为2000000元,为期四年,每半年付息一次,年利率10%。发行时市场利率为8%,则发行价格可计算如下:

(1)面值部分:四年后一次偿还2000000元,应按市场利率4%(半年率)计算8期(每半年付息一次,四年共8期)复利的现值,即

2000000×(1+4%)-8=1000000×0.7307=1461400(元)

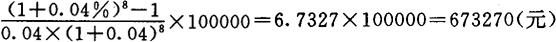
(2)利息部分:每半年支付一次利息,每次付息额为100000元(),

将有关资料代入年金现值公式,可计算得出现值为:

因此,在市场利率为8%时,公司债券的发行价格为2134670元(=1461400+673270),超过面值134670元,亦称公司债券溢价134670元。

若发行时市场利率为12%,则公司债券的发行价格可计算如下:

面值:2000000×(1+6%)-8=2000000×0.6274

=1254800(元)

利息:

发行价格:1254800+620980=1875780(元)

发行价格低于面值,比面值少124220元,称为公司债券折价124220元。

若发行时市场利率为10%,则公司债券的发行价格可计算如下:

面值:2000000×(1+5%)-8=2000000×0.676839

=1353678(元)

利息:

发行价格:1353678+646322=2000000(元),亦称为按面值发行。

2.公司债券发行的核算

为了核算公司债券的发行,会计上应设置“应付公司债”和“应付公司债溢价或折价”两个帐户。“应付公司债”帐户是负债帐户,用以按面值核算公司债的发行及其偿还情况。“应付公司债溢价或折价”帐户,则核算公司债券的溢价或折价及其摊销情况,该帐户是“应付公司债”帐户的调整帐户,在资产负债表中列在应付公司债项目之后,用于加减应付公司债的面值,以反映应付公司债的全貌。

[例8]接上例,其帐务处理如下:

①按面值发行时,记:

借:银行存款 2000000.00

贷:应付公司债 2000000.00

②按溢价发行时,记:

借:银行存款 2134670.00

贷:应付公司债 2000000.00

应付公司债溢价或折价 134670.00

③折价发行时,记:

借:银行存款 1875780.00

应付公司债溢价或折价 124220.00

贷:应付公司债 2000000.00

3.公司债券溢价和折价的核算

通常情况下,公司债券是按面值发行的,但也存在溢价发行或折价发行。溢价发行可以理解为购买者在债券的整个期限内对举债公司多付利息的一种补偿,因而在发行时先向债券购买者预收一笔款项作为补偿。这笔款项应在债券期限内分期予以摊销,减少外商投资企业的借款利息支出。折价发行可以理解为债券发行公司在债券的整个期限内对债券购买者少得利息的一种补偿,因而在发行时先向债券购买者少收一笔款项,作为以后少付利息的补偿。这笔款项应在整个债券有效期内分期摊销,增加外商投资企业的举债利息支出。

公司债券溢价或折价的摊销方法,通常有直线法和实际利率法两种。

(1)直线法,是将公司债券的溢价或折价在债券有效期内平均分摊的方法。

①债券溢价的摊销。

[例9]以[例8]为例,已知溢价总额134670元,每半年摊销一次,债券期限为4年,共摊销8次。每次应摊销的金额为:

134670÷8=16834元。

每半年支付利息及摊销溢价的帐务处理如下:

借:财务费用——利息支出 83166.00

应付公司债溢价或折价 16834.00

贷:银行存款 100000.00

②债券折价的摊销。

[例10]以[例8]为例,已知折价总额124220元,每半年摊销一次,债券期限为4年,共摊销8次。每次应摊销的金额为:

124220÷8=15528元。

每半年支付利息及摊销折价的帐务处理如下:

借:财务费用——利息支出 115528.00

贷:银行存款 100000.00

应付公司债溢价或折价 15528.00

(2)实际利率法,是以各期期初公司债券的帐面价值乘以实际利率,其积作为各期的利息费用。当期入帐的利息费用与该期按票面利率计算并支付的利息的差额,就是该期应摊销的债券溢价或折价。

①债券溢价的摊销。

[例11]以溢价发行的实例为例,编制实际利率法下债券溢价摊销表如图表3-7-1所示。

图表3-7-1 公司债券溢价摊销表(实际利率法)

1994年11月1日支付利息及摊销溢价的帐务处理如下:

借:财务费用——利息支出 82904.00

应付公司债溢价或折价 17096.00

贷:银行存款 100000.00

②债券折价的摊销。以前述折价发行的实例为例,编制实际利率法下债券折价摊销表如图表3-7-2所示。

图表3-7-2 公司债券折价摊销表(实际利率法)

1994年11月1日帐务处理如下:

借:财务费用——利息支出 115840.00

贷:银行存款 100000.00

应付公司债溢价或折价 15840.00

从图表3-7-1和3-7-2 中可以看出,在实际利率法下,各期实际承担的利息费用均按公司债券帐面价值和市场实际利率相乘计算而得,由于债券帐面价值逐期不同,因而每期负担的利息费用也各不相等。在溢价的情况下,由于债券帐面价值逐期降低,因而利息费用也呈逐期减少之势。相反,在折价的情况下,由于债券帐面价值逐期增加,因而利息费用亦逐期增加。但不管是溢价发行还是折价发行,也不论是前期还是后期,每期实际承担的利率都等于市场实际利率

4.公司债券的到期还本

公司债券到期,即应偿还本金。不论发行时是按面值发行,还是按溢价或折价发行,到期日其帐面价值总等于面值,都按面值还本。

[例12]以前例1992年5月1日发行的公司债券为例,1996年5月1日到期。其帐务处理如下:

借:应付公司债 2000000.00

贷:银行存款 2000000.00

另外,外商投资企业资产负债表中单独列有其他负债项目,包括筹建期间汇兑收益和递延投资收益两项。这两个项目的内容分别应当通过“筹建期间汇兑损失”和“递延投资损失”帐户进行核算。

随便看

 

离鸟网收录3541549条中英文词条,其功能与新华字典、现代汉语词典、牛津高阶英汉词典等各类中英文词典类似,基本涵盖了全部常用中英文字词句的读音、释义及用法,是语言学习和写作的有利工具。

 

Copyright © 2004-2024 vtrois.com All Rights Reserved
更新时间:2026/4/20 15:53:57