网站首页  词典首页


请输入您要查询的字词:

 

字词 锥形顶盖排版、料计算方法
类别 中英文字词句释义及详细解析
释义

锥形顶盖排版、料计算方法


图3-146 立体图

锥形顶盖的封头形式,其底角一般在10°~15°,下面列举几种形式的排版下料方法,以供参考。

1.一带多片倒颠互插排版下料方法

如图3-147所示,为腈装置进料罐顶盖施工图,从图中可看出,底角较小,因而展开料包角一定会很大,大小端差也会很大,所以这种顶盖的排版,以多片倒颠互插为最节约原材料。

图3-147 锥形顶盖

(1)有关数据的计算

④总弧长S=π×4190=13163(mm)

(2)粗确定等份数的方法

在板宽一定的前提下(本例板宽1220mm),确定等份数的方法是试算法,如图3-148所示。

图3-148 瓜瓣顶盖倒颠互插计算原理

在直角三角形ACB和BED中:

BD=2·R·sinα1

板宽BE=BD·cosα1(令BE=B)

①下面试计算三个数据,以确定一扇展开料包角。

按α1=16.5°计算:BD=2×2142×sin16.5°=1217(mm)B=1217×cos16.5°=1167(mm)

同理得:

按α1=17°计算:B=1198mm

按α1=17.5°计算:B=1229mm

从以上的计算结果看,16.5°、17°、17.5°离板边的距离分别为-53mm、-23mm、+9mm,考虑到还要加刨边余量的因素,所以按16.5°为合理。

②粗确定瓜瓣等份数的计算:352.1°÷2×16.5°=10.67(等份)

由此看出,根据板宽1220mm,应分11等份。

(3)排版图各数据的计算(排版图见图3-149)

图3-149 排版图

①每等份包角2α1=352.1°÷11=32.009°

②每等份大端弧长S1=13163÷11=1197(mm)

③每等份小端弧长=508×π/11=145(mm)

④缺口大端弧长S2=2π×2142-π×4190=295(mm)

(4)在板上划线方法

具体方法见图3-150,叙述从略。

图3-150 在板上划线方法

(5)成形方法

①若上卷板机卷制,可预组焊成两大片,分片在卷板机上卷制;焊成整体是无法卷制的。此法适于弹性较小的较厚板。

②不上卷板机卷制时,可预组焊成一整体,以锥顶为吊点吊起,使对口合拢。此法适于弹性好的较薄板和底角较小者(底角越小缺口越小)。

2.两带板排版下料方法

如图3-151和图3-152所示,为糠醛贮罐顶盖施工图和展开图,从图中可看出,大端直径较大,小端直径较小,缺口大端弧长较大等于692mm,若下成多片一带板形式,小端每等份弧长过小,造成应力集中,这是设计所不允许的,所以分成两带为宜,即下带分若干片,仍采用倒颠互插法划线,上带为整料或两半,用手工槽制成形。

图3-151 锥形顶盖

图3-152 排版图

(1)有关数据的计算

④总弧长S=π×6232=19578(mm)

(2)粗确定等分瓜瓣数方法

本例用板-6×1810×7000(mm),其确定方法同上例,即试算法,原理从略。

①下面进行三个数据的试算:

按α1=15.5°计算,其计算器手工计算程序是:B=15.5°sin×2×3226=×15.5°cos=1662(mm)

同理得:

α1=16°计算 B=1710mm

α1=16.5°计算 B=1757mm

从以上结果看,并考虑到加刨边余量的因素,按α1=16.5°为合理。

②粗确定瓜瓣等分数的计算:348°÷33°=10.545(等份),由以上计算可看出,根据板宽1810mm,应分为11等份为最佳。

(3)确定上下带结合端口直径的方法

本例根据板宽达最佳节约料和上下带的匹配,所以取上带r1=900mm,那么结合端口的直径应为:

d=2×900×cos15°=1739(mm)

(4)排版图各数据的计算

①每等份的包角2α1=348°÷11=31.636°

②每等份大端弧长S1=π×6232÷11=1780(mm)

③下带上端口每等份弧长S2=π×1739÷11=497(mm)

④下带大端缺口弧长S3=2π×3226-π×6232=692(mm)

⑤上带大端缺口弧长S4=2π×900-π×1739=192(mm)

3.一带板条状排版下料方法

如图3-153所示,为甲醛贮罐顶盖施工图,这种排版方法并不显得合理,单从雨水积雪的排泄来看就不合理,这种排版仅仅是一种排版形式而已。下面分别按跨心式和对称式排版叙述如下。

图3-153 甲醛贮罐顶盖

(1)跨心式排版料计算(见图3-154)

图3-154 排版图(跨心式)

这种排版方法适用于弹性较好的薄板,只能用吊起法使对口合拢。下面进行有关数据的计算。

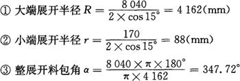
④总弧长S=π×8040=25258(mm)

⑤大端缺口弧长S1=2π×4162-π×8040=892(mm)

⑥小端缺口弧长S2=2π×88-π×170=19(mm)

(2)对称式排版料计算(见图3-155)

图3-155 排版图(对称式)

这种排版方法也不合理,但可分两瓣卷制,此法适于弹性较差的厚板。上面跨心式已将大部分数据计算,下面仅计算本方式所用的数据。

①中半弦长B1=4162-88=4074(mm)

4.一带两半圆颠倒排版下料方法

如图3-156所示,为燃料油罐顶盖施工图,从图中可看出,由于底角较小,致使展开料包角过大(包角α=354.44°),半扇的包角接近180°,假设展开半径小于板宽10~20mm的话,其排版宜下成两个半圆(当然小于180°)为最佳排版方式;假设展开半径大于板宽,就要考虑采用前例之倒颠互插排版方式。本例属于前者,下面计算有关数据如下。

图3-156 燃料油罐顶盖

③总弧长S=π×3060=9613(mm)

④缺口大端弧长S1=2π×1554-π×3060=151(mm)

本例使用-8×1570×6000(mm)Q235-A板,排成两个半圆正合适,排版图见3-157。

图3-157 排版图

在板上划线方法见图3-158,这种排版方法可半扇在卷板机上卷制后组成对型,是一种巧合而又省工节料的理想排版方法。

图3-158 在板上划线

随便看

 

离鸟网收录3541549条中英文词条,其功能与新华字典、现代汉语词典、牛津高阶英汉词典等各类中英文词典类似,基本涵盖了全部常用中英文字词句的读音、释义及用法,是语言学习和写作的有利工具。

 

Copyright © 2004-2024 vtrois.com All Rights Reserved
更新时间:2026/4/20 17:08:20