网站首页  词典首页


请输入您要查询的字词:

 

字词 链斗式采盐船采掘工艺
类别 中英文字词句释义及详细解析
释义

链斗式采盐船采掘工艺


(一)采盐船的定位

链斗式采盐船定位有五锚式和定位桩式两种。定位桩式的采掘方法同“二”所述。五锚式是通过设置在船首、尾甲板上的5台绞车,牵动钢丝绳锚缆进行采掘的,见图4-3-18。

图4-3-18 采盐船布锚图

主锚一般需抛离船体500~700m,在水域许可时,可抛出1000m以上;根据采区长度尽量一次抛足,减少移锚次数。主锚钢丝绳由20~25节(每节25m)组成,便于伸缩。主锚一般抛在采掘单元的中心线上,如盐层厚薄不一,则应尽量抛在盐层厚的一边。边锚(左前、右前锚,左后、右后锚)一般抛出90~150 m,锚链与船中心线的垂直线的夹角为15°~40°;盐层厚,夹角宜小,反之可稍大;对于原生盐层,锚缆应适当放长;对再生盐层则可适当缩短。为减少边锚的移动次数,可在采区边上设地垄,安钢缆代锚。地垄钢缆平行于采掘单元中心线,边锚通过动滑轮与钢缆相连,便于采盐船横移和前移。为适应采、运需要,采掘单元宽度应不小于150~200m。

(二)挖船窝

链斗式采盐船的船窝,要同时能满足采盐船漂浮和运盐船转弯、调头的需要。一般在采用斜向切入开挖,即采盐船先从有足够吃水深的运盐沟内,向浅的地方逐渐挖进去,每前移一次挖进一些,一直挖到所要求的设计边线。为防止采盐船舷边搁浅,影响掘进,需提高斗桥,将斗桥伸出。有的船斗桥短,伸不出船头,可在原地继续挖深,挖掉边线坍塌的盐层,使船体能逐步掘进。

(三)采掘盐层

用横采法分条、分层和分段采掘。采盐时,用绞车收进一侧的边锚链或边缆,放出另一侧的边锚链或边缆,使采盐船由采掘单元的一边向另一边横移,同时进行采盐;到达边线时,绞主锚缆使船体前移,再向相反方向横移。链斗式采盐船横采法有以下几种形式:

1.斜向横采法 船身纵轴与采掘单元中心线成一较小角度横移,只有下导轮接触堑口盐层。其优点是盐斗充盐足,挖采坑边时规格较准,且不易脱缆,因此,一般都用此法。如图4-3-19。

图4-3-19 斜向横挖法示意图

2.扇形横采法 船首横移,船尾则基本不动,形成扇形横采。此法适用于挖船窝和清理航道结盐,见图4-3-20。

图4-3-20 扇形横挖法示意图

3.十字形横采法 船舯基本上停在原地,船首向一边横移,船尾向另一边横移,如图4-3-21所示。

图4-3-21 十字形横挖法示意图

如采坑中盐层厚度不均匀,厚盐层处的前移距应小于薄盐层处的前移距。也可先在厚盐层一侧横采数次,然后在整个采坑宽度上横采一次。

4.分条、分层采盐 采掘单元过宽或盐层厚度不匀时,须分条采盐,即分两条或多条进行采掘(包括盐层上下质量差别较大)。当盐层厚度大于盐斗高度3倍以上以及盐层上下部质量差别较大时,应采用分层采掘;原生盐层即使厚度小于盐斗高度3倍也应采用分层采掘。

当采掘单元长度很大,所抛主锚不能一次采完,须在分层或分条基础上,采用分段采掘。

为了使盐斗充满石盐,提高生产率,应正确掌握采盐船的前移距离和横移速度。在盐层厚、盐盖硬的原生盐采区,前移距不宜过大;在盐层疏松、易流动的再生盐采区,前移距可适当增大,但也不要超过下导轮下面斗链着底距,以保证采坑的平整度,如图4-3-22所示。

图4-3-22 斗链着底距示意图

横移速度应以盐斗充盐情况而定。当盐斗充盐少时,应适当加快横移速度;如充盐良好,则应适当放慢,一般控制在每分钟6~8m左右。

采掘深度由驾驶员根据斗桥中部和前端的深度尺来控制,并经常以实测水深来校正。为了保持采坑平整,在盐斗充盐良好的情况下,应尽量减小前移距和横移速度;在分条采盐时,分条交界处要重复采盐,防止漏采。

(四)采掘量的确定

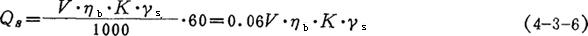
链斗式采盐船的采掘量按下式计算:

式中 Qs——采盐船采掘量(t/h)

V——盐斗斗容(L)

ηb——盐斗每分钟倒斗数(斗/min),一般为18~22斗/min,最大达26~28斗/min。

K——计入采深和石盐流失的盐斗填充系数,一般为0.635~0.75。

rs——矿体容重(t/m3)

式4-3-6乘上矿床石盐组分含量,即为采盐船的生产量。

随便看

 

离鸟网收录3541549条中英文词条,其功能与新华字典、现代汉语词典、牛津高阶英汉词典等各类中英文词典类似,基本涵盖了全部常用中英文字词句的读音、释义及用法,是语言学习和写作的有利工具。

 

Copyright © 2004-2024 vtrois.com All Rights Reserved
更新时间:2026/4/17 16:12:39