网站首页  词典首页


请输入您要查询的字词:

 

字词 铸造应力、变形和裂纹的形成与防止
类别 中英文字词句释义及详细解析
释义

铸造应力、变形和裂纹的形成与防止


铸件在冷却过程中,其固态收缩受到阻碍时,就会在铸件内部产生应力,称为铸造应力,该应力是铸件产生变形、冷裂和热裂等缺陷的主要原因.

4.2.3.1 铸造应力的形成

铸造应力按产生原因的不同可分为热应力、相变应力和收缩应力.

(1)热应力.热应力是由于铸件壁厚不均匀,各部分的冷却速度不同,以致在同一时间内,铸件各部分收缩不一致而造成的.通常,热应力使铸件的厚壁处或心部受拉伸,薄壁处或表层受压缩.合金的固态收缩率越高、铸件的壁厚差越大,热应力也越大.预防产生热应力的基本途径是尽量减小铸件各部分的温度差,使铸件均匀地冷却.因此,设计铸件结构时,应尽量使铸件壁厚均匀,避免金属聚集,并在铸造工艺上采取必要的措施,如采取同时凝固原则.

(2)相变应力.铸件各部位在不同的时间产生相变而引起的应力称为相变应力.

(3)收缩应力.它是铸件收缩受到机械阻碍而形成的应力,因此又称为机械应力.形成机械阻碍的原因很多,如型砂舂得过紧,型砂或芯砂的高温强度太高、退让性差等.这种应力是暂时的,故又称为暂时应力.当机械阻碍的原因一经消失,应力即自行消失.由于铸件高温强度低,当应力超过其高温强度时,在应力集中的部位,容易产生裂纹(热裂).

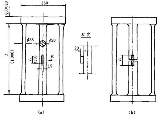
铸造应力是收缩应力、热应力和相变应力的综合.根据铸件的具体情况,三种应力有时互相抵消,有时互相叠加;有时是暂时存在,有时则残留下来.铸件冷却过程中所产生的铸造应力,如超过该温度下合金的屈服强度,则将产生残留变形;如超过其抗拉强度,则将产生裂纹.如在弹性强度范围内,则以残留应力的形式存在铸件内,这样就可能降低其机械强度;或者使铸件产生变化,从而破坏机器的精度.在实际生产中,为了测定铸件中残留应力的大小及经热处理后应力消除的程度,常采用应力框试验.曲型的应力框如图4-2所示.

图4-2 典型的应力框图

(a)锯开前;(b)锯开后

计算应力采用如下公式:

式中 σ——所测得的应力值,MPa;

l1——锯开前凸块端面距离,mm;

l2——锯开后凸块端面距离,mm;

l——应力框中间竖杆长度,mm;

E——合金的弹性模量,MPa.

测定铸件热处理后应力的消除程度时,可随铸件一起铸出两批应力框,其中一批不经热处理而测定其内应力值(如为σ1);另一批随铸件一起热处理,再测定其内应力值(如为σ2),应力消除的程度就可按下式算出:

4.2.3.2 铸件的变形及其防止

热应力是铸件产生变形和裂纹的内在原因.铸件的薄壁部分(或外层)冷却较快,残留有压应力,厚壁部分(或内层)冷却较慢,残留有拉应力.具有内应力的铸件处于不稳定状态,能自发地进行变形以减小内应力,使其趋于稳定状态.变形的结果将使铸件产生弯曲.细而长或大而薄的铸件,更易变形.

为防止变形,应尽可能使铸件壁厚均匀或使之形状对称.对铸造工艺上应采取措施,力求使其同时凝固.有时,对长而易变形的铸件,在制模时,将木模制成与铸件变形相反的形状,用以抵消铸件产生的变形,这种方法称为反变形法.尽管铸件冷却时发生了一定的变形,但铸造应力仍难以彻底去除.经机械加工后,这些内应力将重新分布.铸件还会逐渐地发生变形,使加工后的零件丧失了应有的精度,严重影响机械产品质量.为此,不允许变形的重要铸件,必须采取自然时效或人工时效方法,将残留的内应力有效地去除.所谓人工时效是将铸件进行低温退火,它比自然时效节省时间,应用广泛.

4.2.3.3 铸件的裂纹及其防止

当铸造应力超过金属的强度极限时,铸件则发生裂纹.裂纹是铸件的严重缺陷,必须设法防止.

1.热裂

热裂是在凝固末期高温下形成的裂缝,其形状特征是裂纹短,缝隙宽,形状曲折,缝内金属呈氧化色(黄紫色).热裂是铸钢和铸铝合金件中常见的缺陷.

为防止产生热裂,除了使铸件的结构设计合理外,还应合理地选择型砂或芯砂的黏结剂,以改善其退让性,大的型芯可制成中空的或内部填以焦炭.同时,应严格限制钢和铸铁中的含硫量,因为硫能增加热脆性,使合金的高温强度降低.

2.冷裂

冷裂是在较低温度下形成的,并常出现在受拉伸的部位,其裂缝细校呈连续直线状,缝内干净,有时呈轻微氧化色.

壁厚差别大、形状复杂的铸件,尤其是大而薄的铸件容易发生冷裂.凡是减小铸造内应力或降低合金脆性的因素,均能防止冷裂的形成.钢和铸铁中,磷能显着降低合金的冲击韧性,增加脆性,因此,在熔炼金属过程中,必须对磷加以严格控制.

随便看

 

离鸟网收录3541549条中英文词条,其功能与新华字典、现代汉语词典、牛津高阶英汉词典等各类中英文词典类似,基本涵盖了全部常用中英文字词句的读音、释义及用法,是语言学习和写作的有利工具。

 

Copyright © 2004-2024 vtrois.com All Rights Reserved
更新时间:2026/4/21 19:28:21