网站首页  词典首页


请输入您要查询的字词:

 

字词 铝箔纸的检验
类别 中英文字词句释义及详细解析
释义

铝箔纸的检验


(一)取样

随机从5卷分切好的铝箔纸成品上提取,每卷剥去外面3层,分别取15m,绕在卷芯上,注意不能有皱褶、压痕。

(二)定量测定

与卷烟纸的定量测定方法相同,见本章一之(二)。

(三)耐折度测定

1.原理

铝箔纸在一定的张力下,所能经受往复180°的折叠的次数,以往复折叠的次数表示。

2.试样的采取和处理

(1)将试样切成宽15mm,长140mm的试样。

(2)将上述试样置于恒温恒湿室中进行处理,试样的温湿处理与本章一之(二)之1相同。

3.仪器

耐折度应用符合下列要求的肖伯尔式耐折度测定仪进行测定。

(1)厚度为0.25~1.4mm的试样。

(2)两夹间的距离为130mm。

(3)折叠刀片厚1.0mm,刀缝宽度2mm,刀片端部与试样接触呈半圆形,其半径为0.5mm。

(4)折叠辊的直径为10mm,折叠辊与刀片间的距离为2mm。

(5)折叠前试样所受的初张力为1.0kg,折叠时试样所受的最大张力为1.3kg。

(6)每分钟往复最大次数为100~120次。

4.方法

(1)在标准的温湿度下进行试验。

(2)将试样平行地夹于测定仪的夹子上,加以初张力1.0kg,最大张力1.3kg,往复折叠至试样断裂。

(3)测定的试样纵向和横向均不少于6条试样,分别以纵向、横向所有测定值的算术平均值表示测定结果,并报出最大值和最小值。

计算结果修约至整数。

(四)透湿度测定

1.原理

透湿度是指薄片材料两面保持一定的蒸汽压力差,在一定温湿度下,水蒸气24h透过1m2试样的质量,以g/(m2·24h)表示。

2.仪器

(1)恒温恒湿箱:温度精度为±0.5℃,相对湿度精度为±2%,风速0.5~2.5m/s。关闭箱门之后,15min可达到规定的温湿度。

(2)见图8-2-2至图8-2-4所示的透湿杯,杯的有效内径为6mm,有效测定面积为0.00283m2,透湿杯的材质为不透湿、耐腐蚀的材料,由杯、杯环、杯皿、杯盖四件组成。

图8-2-2 杯环

图8-2-3 杯皿

图8-2-4 杯

(3)见图8-2-5至图8-2-7所示的封蜡定位器,由导正杯、杯台和压盖三件组成。

图8-2-5 导正杯

图8-2-6 杯台

图8-2-7 压盖

(4)宽6.5cm,质量6.5kg的金属压辊。

(5)精度万分之五的分析天平。

(6)封样用蜡:温度38℃时不软化,在50cm2暴露面积的情况下,24h质量变化不大于1mg。

(7)干燥剂:无水氯化钙或经120℃温度下烘干3h以上的硅胶。粒度为通过4mm2筛孔,但通不过1.6mm筛孔。

3.方法

(1)沿纸幅,均匀切取直径64mm的试样8片,取其中4片轻轻垂直交叉折叠,然后用金属压辊对每条折痕正反面各滚压一次(滚压时折线与压辊的轴向平行),再用压辊压平折痕,制成带有折痕的试样,待测折痕透湿度(为减少匀度差的影响,折痕试样与未折痕试样应互相对应在邻近位置切取)。

(2)在透湿杯杯皿内加入干燥剂,要使干燥剂表面平坦,与试样下面保持约3mm的距离,然后把试样放在杯口中,再把杯环对着杯口放在试样上,通过见图8-2-8所示的定位装置,把杯环放正压好,然后,把在100℃水浴中熔好的封样用蜡铸进透湿杯的蜡槽里,待冷却后可用热刮刀将蜡刮平,并封住由于冷却时出现的裂纹。

图8-2-8 封样定位装置组装图

1-杯环 2-杯皿 3-杯 4-导正环 5-杯台 6-压盖

(3)用粗天平把封好的透湿杯连同杯盖粗称一遍,以便于以后的精确称量。然后,取下杯盖,小心的把各透湿杯放进温度38℃±0.5℃、相对湿度90%±2%的恒温恒湿箱里,预处理2h后取出并盖好相应的杯盖称量,精确至0.0005g,称量后再取下杯盖放入恒温恒湿箱中,每隔一定的时间称量一次,待到邻近的两次称量其透湿度波动小于5%时停止试验,以波动小于5%的两次透湿度的平均值表示结果。

注:①两次称量的时间间隔,一般为24h、48h和96h。如果试样透湿度过大,亦可选用4h、8h和12h。但要控制透湿杯增加质量不小于0.005g。

②必须在吸湿剂增量少于10%时结束试验。

③每次应取数量相同的一组透湿杯称量。使总称量时间大致相同(不超过30min),并且各透湿杯几次称量的先后顺序应一致。

4.计算

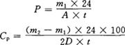
透湿度P(g/m2·24h)和折痕透湿度Cp(g/100m2·24h)按下式计算:

式中 m1——未折试样透湿杯增量,g;

m2——已折试样透湿杯增量,g;

A——透湿杯的有效面积,m2

D——透湿杯的有效直径,m;

t——两次称量的时间间隔,h。

每一包装单位中,从取出的不同试样上切取8片试样分别测定其正面朝外的透湿度和折痕透湿度。以所有测定值的平均值分别报告透湿度和折痕透湿度的测定结果,必要时报告最大值、最小值。

(五)横向撕裂度测定

1.试样的采取

切取试样长度为75mm±2mm,宽度为63mm±0.5mm,进行横向试验,至少做5次有效的试验。

2.仪器

使用爱利门道夫单撕裂度仪测定。仪器由基架和合适的摆组成,摆锤在摩擦力很小的轴承上支撑着,能围绕水平轴自由地摆动,试样夹持在两夹子间,其中一个夹子固定在基架上,另一个在摆上,试样被夹的表面至少为25mm宽,15mm深。

撕裂试验前,摆锤可置于两夹子呈水平的初始位置上,用手动的停止器固定之。这时两夹间的距离为2.8mm±0.3mm,两个夹口在一条直线上。夹子表面上边缘的水平线与摆轴中心的距离为104mm±1mm,该水平与摆轴所在平面与垂直方向呈27.5°±0.5°

本方法是根据测量摆撕裂试样所付出的能量,其测量方法是借助带有指针的套,套与摆安在同一轴上,指针与摆的相对位置能够从摆的扇型刻度盘上读数。该套筒的摩擦阻力应保持在规定的范围内。

指针被底座上的一个可调的停止器挡住,可用停止器来调节指针的位置,使其能读取撕裂试样时所做的功。并能在不撕裂试样时,刻度读数为零。该调节器大约可补偿摆和指针的摩擦。

用枢轴上的刀预切试样,切口长度20mm,保证试样被撕开的距离是43mm±0.5mm。

为使撕裂范围扩大,可采用换摆或附加重锤办法解决,但要根据所使用摆或重锤的因数进行换算。

仪器具有刻度或传感器数字显示,这两种读数都相应于设计纸页层数的撕裂度。按16层刻度的仪器多用8层,也可用4、16或32层;按4层刻度的仪器多用4层,也可用2或8层;分别用相应的换算系数乘或除刻度读数,所得撕裂度以mN表示。

3.方法

(1)根据试验选择合适的摆和重锤,要求测定读数在满刻度值的20%~80%范围内。

(2)将试样一半正面对着刀,另一半反面对着刀,试样侧面边缘要整齐,底边完全与夹子底部接触,对正夹紧,用枢轴上的刀将试样切一整整齐齐的刀口,让刀返回静止位置。使指针与指针停止器相接触,用手敏捷地压住摆的停止器,待摆摆至最远返回接近起始位置时,轻轻地停住摆,使指针与操作者的眼睛水平时,读取指针指示的读数,或读取数显的值。在刻度为0~1000时指针读数准确至5个单位;刻度为0~100时指针读数准确至0.5个单位。松开夹子,去掉已撕的试样,使摆和指针回至起始位置,准备进行下一测定。

若试样撕裂线的末端与刀口延长线左右偏斜超过10mm,当在10个试验中有1~2个试样偏斜超过10mm,即弃去不计,再多做几个试验,直至得到10个满意的结果为止。如果有两个以上的试样偏斜超过10mm,其结果可以保留,在报告中注明偏斜情况。

若在撕裂过程中,试样产生剥离现象,不是在正常方位上撕裂,按上述撕裂偏斜的原则处理。

4.计算

撕裂度按下式计算:

式中 a——撕裂度,mN;

S——在试验方向上,平均刻度读数;

P——换算因数即刻度的设计层数;

n——同时撕裂试样的层数。

撕裂指数按下式计算:

式中 X——撕裂指数,mN·m2/g;

G——铝箔纸的定量,g/m2

(六)光泽度测定

1.试样的采取和处理

(1)从抽取的纸页上切取试样100mm×100mm试样10张,避开有缺陷的部分,保持清洁,不得用手接触测试面。

(2)将上述试样置于恒温恒湿室中进行处理,试样的温湿处理与本章一之(二)之1相同,并在这个条件下进行试验。

2.仪器

(1)仪器的光学系统见图8-2-9。

图8-2-9 45°角光泽度测试头光学系统简图

1-反射表面 2-光电池 3-接收光栏孔,直径1.5mm 4-磨砂灯泡 5-黄铜灯罩 6-入射光栏孔,直径1.5mm 7-透镜 8-全反射三棱镜

由稳定电源供电的3W磨砂灯泡发出的光,照在一个孔径为1.5mm的光栏上,光栏处于透镜的焦点位置,所产生的平行光束投射在试样表面上并发生反射。入射角和反射角都为45°±0.5°。反射光通过第二透镜聚焦,在接收光栏孔上形成入射光栏孔影像,光束射在光电池上。

透镜采用消色差双合粘合透镜,其相对孔径不得超过f/3。

光电池与接收光栏距离要足够远,因为光照点的直径约为19mm。

试样压板用于真空吸附试样,当把一片厚薄均匀的塑料膜(如0.08mm的光学级聚酯膜)用吸板定位后,在受光器窗口形成的影像与标准板形成的影像在位置和尺寸上不可测出差别。

(2)光泽度标准。标准表面是一个全部内反射45°直角三棱镜的斜边面。该表面衬在阳极氧化铝板上。三棱镜的尺寸是25mm×25mm×35.3mm,用硬冕玻璃制成;折光指数在1.50~1.52范围之内。在25mm距离内吸收可见光1.5%~2.0%。其镜面反射率因数应在80%~90%。该标准应定期由上级计量部门标定。

(3)黑绒衬里的黑筒。

3.方法

每次插入一片试样读取光泽度值,每片试样测定纵横两个方向。

纵横向各测定10次,以纵横向平均值和变异系数表示结果。

(七)成型度测定

1.原理

铝箔纸加压折成90°,在释放压力后,用纸样的反弹角大小表示成型度。

2.仪器

300g(底面90mm×20mm)钢压块及量角器。

3.方法

取90mm长铝箔纸,沿纵向弯曲20mm,加300g静压块,折90°,8s后去掉压块,第3s时测量纸样反弹角度值。

4.计算

每一测定试样,测试3段,测得数据按算术平均值报告测定结果,结果取整数。

随便看

 

离鸟网收录3541549条中英文词条,其功能与新华字典、现代汉语词典、牛津高阶英汉词典等各类中英文词典类似,基本涵盖了全部常用中英文字词句的读音、释义及用法,是语言学习和写作的有利工具。

 

Copyright © 2004-2024 vtrois.com All Rights Reserved
更新时间:2026/4/19 14:05:11