网站首页  词典首页


请输入您要查询的字词:

 

字词 铅的测定——双硫腙比色法(GB/T 5009.12—1996)
类别 中英文字词句释义及详细解析
释义

铅的测定——双硫腙比色法(GB/T 5009.12—1996)


1.原理

样品经消化后,在pH8.5~9.0时,铅与双硫腙生成红色络合物,溶于三氯甲烷,加入柠檬酸铵、氰化钾和盐酸羟胺等防止铁、铜、锌等离子干扰,根据所呈红色的深浅进行比色定量。

2.试剂

(1)1∶1氨水。

(2)1∶1盐酸:量取100mL盐酸,加水稀释至200mL。

(3)酚红指示液:0.1%乙醇溶液。

(4)20%盐酸羟胺溶液:称取20g盐酸羟胺,加水溶解至约50mL,加2滴酚红指示液,加1∶1氨水,调pH至8.5~9.0(由黄变红,再多加2滴),用双硫腙-三氯甲烷溶液提取至三氯甲烷层绿色不变为止,再用三氯甲烷洗二次,弃去三氯甲烷层,水层加1∶1盐酸呈酸性,加水至100mL。

(5)20%柠檬酸铵溶液:称取50g柠檬酸铵,溶于100mL水中,加2滴酚红指示液,加1∶1氨水,调pH为8.5~9.0,用双硫腙-三氯甲烷溶液提取数次,每次10~20mL,至三氯甲烷层绿色为止,弃去三氯甲烷层,再用三氯甲烷洗2次,每次5mL,弃去三氯甲烷层,加水稀释至250mL。

(6)10%氰化钾溶液。

(7)三氯甲烷:不应含氧化物。

①检查方法:量取10mL三氯甲烷,加25mL新煮沸过的水,振摇3min,静置分层后,取10mL水液,加数滴15%碘化钾溶液及淀粉指示液,振摇后不显蓝色。

②处理方法:于三氯甲烷中加入1/10~1/20体积的20%硫代硫酸钠溶液洗涤,再用水洗后加入少量无水氯化钙脱水后进行蒸馏,弃去最初及最后的1/10馏出液,收集中间馏出液备用。

(8)淀粉指示液:称取0.5g可溶性淀粉,加5mL水搅匀后,慢慢倒入100mL沸水中,随倒随搅拌,煮沸,放冷备用。临用时配制。

(9)1%硝酸:量取1mL硝酸,加水稀释至100mL。

(10)双硫腙溶液:0.05%三氯甲烷溶液,保存冰箱中,必要时用下述方法纯化。

称取0.5g研细的双硫腙,溶于50mL三氯甲烷中,如不全溶,可用滤纸过滤于250mL分液漏斗中,用1∶99氨水提取3次,每次100mL,将提取液用棉花过滤至500mL分液漏斗中,用1∶1盐酸调至酸性,将沉淀出的双硫腙用三氯甲烷提取2~3次,每次20mL,合并三氯甲烷层,用等量水洗涤2次,弃去洗涤液,在50℃水浴上蒸去三氯甲烷。精制的双硫腙置硫酸干燥器中,干燥备用。或将沉淀出的双硫腙用200、200、100mL三氯甲烷提取3次,合并三氯甲烷层为双硫腙溶液。

(11)双硫腙使用液:吸取1.0mL双硫腙溶液,加三氯甲烷至10mL,混匀。用1cm比色杯,以三氯甲烷调节零点,于波长510nm处测吸光度(A),用下式算出配制100mL双硫腙使用液(70%透光率)所需双硫腙溶液的毫升数(V)。

(12)铅标准溶液:精密称取0.1598g硝酸铅,加1%硝酸10mL,全部溶解后,移入100mL容量瓶中,加水稀释至刻度。此溶液每毫升相当于1mg铅。

(13)铅标准使用液:吸取1.0mL铅标准溶液,置于100mL容量瓶中,加水稀释至刻度。此溶液每毫升相当于10μg铅。

3.仪器

(1)所用玻璃仪器均用10%~20%硝酸浸泡24h以上,用自来水反复冲洗,最后用无铅水冲洗干净。

(2)分光光度计。

4.操作方法

(1)样品消化:

硫酸-硝酸法:称取含水量少的固体粉碎样品10.0g,置500mL定氮瓶中,先加水少许使湿润,加数粒玻璃珠,10~15mL硝酸,放置片刻,小火缓缓加热,待作用缓和,放冷。沿瓶壁加入10mL硫酸,再加热,至瓶中液体开始变成棕色时,不断沿壁滴加硝酸至有机物分解完全。加大火力,至产生白烟,溶液应澄清无色或微带黄色,放冷。在操作中应注意防止爆炸。加20mL水煮沸,除去残余的硝酸至产生白烟为止,如此处理2次,放冷。将冷后的溶液转入100mL容量瓶中,用水洗涤定氮瓶,洗液并入容量瓶中,放冷,加水定容,混匀。

取与消化样品相同量的硝酸、硫酸,按同一方法做空白试验。

灰化法:称量5.0g样品,置于坩埚中,加热至炭化,然后移入高温炉中,500℃灰化3h,放冷,取出坩埚加1mL硝酸润湿灰粉,用小火蒸干,在500℃灼烧1h,放冷,取出坩埚。加1∶1硝酸1mL,加热,使灰分溶解,移入50mL容量瓶中,用水洗涤坩埚,洗液并入容量瓶中,加水至刻度,混匀备用。

对含水多的样品或液体样品:应称取5.0g或吸取5.0mL样品,置于蒸发皿中,先在水浴上蒸干,然后按以上“加热至炭化”起依次操作。

(2)测定:吸取10.0mL消化后的定容溶液和同量的试剂空白液,分别置于125mL分液漏斗中,各加水至20mL。

吸取0.00、0.10、0.20、0.30、0.40、0.50mL铅标准使用液(相当0、1、2、3、4、5μg铅),分别置于125mL分液漏斗中,各加1%硝酸溶液至20mL。

于样品消化液、试剂空白液和铅标准液中各加20%柠檬酸铵溶液2mL、20%盐酸羟胺溶液1mL和2滴酚红指示液,用1∶1氨水调至红色,再各加10%氰化钾溶液2mL,混匀。各加5.0mL双硫腙使用液,剧烈振摇1min,静置分层后,三氯甲烷层经脱脂棉滤入1cm比色杯中,以零管调节零点,于波长510nm处测吸光度,绘制标准曲线比较。

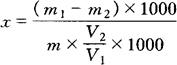
5.计算

式中 x——样品中铅的含量(mg/kg或mg/L);

m1——测定用样品消化液中铅的质量(μg);

m2——试剂空白液中铅的质量(μg);

m——样品质量(体积)[g(mL)];

V1——样品消化液的总体积(mL);

V2——测定用样品消化液体积(mL)。

结果的表述:报告平行测定算术平均值的二位有效数。

允许差:相对相差≤10%。

6.注意事项

(1)双硫腙又名铅试剂、打萨腙、二苯硫代偶氮碳酰肼、二苯硫卡巴腙、二苯硫代偕肼腙、二苯基硫腙等。分子式:C6H5N∶NCSNHNHC6H5;相对分子质量:256.8。为紫黑色结晶状粉末,难溶于水及无机酸,在氯仿中溶解度较大,在四氯化碳中溶解度较小,它们的稀溶液都呈蓝绿色。双硫腙可与20余种金属生成络合物,此络合物易溶于氯仿及四氯化碳,并呈现各种颜色,借此进行比色定量。

双硫腙易被氧化,当它与游离卤素、高价金属、过氧化物、亚硝酸等氧化剂共存时,可生成氧化双硫腙,不仅产生干扰色,并且失去与金属络合的能力,因此,应严格注意所用试剂及双硫腙的纯化。

(2)用双硫腙法测定铅,溶液的pH对其影响较大,应控制pH8.5~9.0内。

(3)双硫腙可与多种金属离子作用生成络合物。在pH8.5~9.0时,加入氰化钾可以掩蔽Cu2+、Hg2+、Zn2+等离子的干扰;加入盐酸羟胺可排除Fe3+的干扰;加入柠檬酸铵,防止生成氢氧化物沉淀使铅被吸附而受损失。

(4)所用试剂应尽可能做提纯处理。柠檬酸铵、双硫腙必须提纯,其余试剂可根据试剂等级或通过空白试验,再决定是否需要提纯。

(5)本法灵敏高,仪器清洗对测定结果影响很大,应使用10%~20%硝酸处理,再用无铅水冲洗。

随便看

 

离鸟网收录3541549条中英文词条,其功能与新华字典、现代汉语词典、牛津高阶英汉词典等各类中英文词典类似,基本涵盖了全部常用中英文字词句的读音、释义及用法,是语言学习和写作的有利工具。

 

Copyright © 2004-2024 vtrois.com All Rights Reserved
更新时间:2026/4/21 18:59:43