网站首页  词典首页


请输入您要查询的字词:

 

字词 铁盐比色法
类别 中英文字词句释义及详细解析
释义

铁盐比色法


(一)适用范围 适用于含有低量硫氰酸盐的硫酸铵样品。在需要对硫氰酸盐定量时采用。本法适测范围为35ml显色液中含硫氰酸铵0.25-2.0mg。

(二)试剂配制

1.1∶9硫酸 1份硫酸与9份水相混(体积)。

2.铁铵矾〔FeNH4(SO4)2·12H2O〕饱和溶液。

3.无水硫酸钠(固体)。

4.硫氰酸铵标准溶液 称取分析纯硫氰酸铵(NH4CNS)0.1g(准确至0.0002g),溶解于蒸馏水中,移入1L容量瓶中定容。此液含硫氰酸铵0.1mg/ml,即100ppm。

(三)测定步骤 称样品20g(准确至0.001g)于200ml烧杯内,加蒸馏水约80ml,溶解后全部移入100ml容量瓶中,定容。用干器皿过滤及承接滤液。吸取滤液25ml,移入50ml比色管中,加蒸馏水10.0ml,摇匀。

标准色阶配制:吸取100ppm硫氰酸铵标准液2.5,5.0,10,20m1分别置于4只50ml比色管中(相当每管含硫氰酸铵0.25,0.5,1.0,2.0mg),每管各加入无水硫酸钠6g,继加蒸馏水使各管容积均达35.0ml,并使无水硫酸钠充分溶解。

将待测样品的试管与标准色阶试管排成一列,用吸管各加入0.5ml1∶9硫酸及0.5ml铁铵矾饱和溶液,搅匀后,将样液所显红色(即〔Fe(CNS)6〕3-络合物的颜色),立即与标准色阶的红色比较,以与样液最接近颜色的标准色阶所含硫氰酸铵量(mg),计算样液硫氰酸铵%。

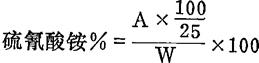
(四)结果计算

式中:A——与样液色相似的标准色阶所含硫氰酸铵毫克数;

W——样品重(mg);

——取用量倍数。

(五)注释 因硫酸根对显色反应有影响,因此在标准色阶溶液中,需加入6g无水硫酸钠,使溶液中硫酸根浓度与硫酸铵试样中硫酸根浓度一致。如待测样含硫氰酸铵高时,测定时可减少所取试液量,此时标准色阶中所加无水硫酸钠量也需相应减少。

随便看

 

离鸟网收录3541549条中英文词条,其功能与新华字典、现代汉语词典、牛津高阶英汉词典等各类中英文词典类似,基本涵盖了全部常用中英文字词句的读音、释义及用法,是语言学习和写作的有利工具。

 

Copyright © 2004-2024 vtrois.com All Rights Reserved
更新时间:2026/4/20 15:06:28