根据钢筋理论重量与截面面积比例关系和强度系数(设计强度)如下:
截面面积=理论重量×1.274(cm2)
理论重量=截面面积×0.785(kg/m)
强度系数,
Ⅰ级钢 2.4
Ⅱ级钢 3.4
Ⅲ级钢 3.8
等截面代换 一般指原设计钢筋和代换钢筋的材质(设计强度)相同,但直径不同时的代换公式为:

〔计算例〕 某设计采用
10间隔180毫米配筋,因
10钢筋无货,拟用
8,或
12代换,代换钢筋的间距应是多少?
①若用
8代换时:

②若用
12代换时:

③若用
8和
12间隔布置配筋代换时:

代换钢筋根数 适用于采用根数配筋时,其公式为:

〔计算例〕 某设计配筋为10根
10,拟用
8或
12代换,代换后应是多少根?
①若用
8代换时:

②若用
12代换时:

说明:采用根数代换时,一定要注意构造要求。
等强度代换 一般指原设计钢筋代换钢筋的规格(直径)相同或者不同,但材质(设计强度)不同时的代换,其公式为:


〔计算例〕 原设计
10间隔180毫米(Ⅰ级钢),现采用
8或
10代换(Ⅱ级钢),代换钢筋的间距应是多少?
①若用
8代换时:

②若用
10代换时

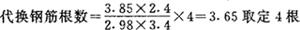
代换钢筋根数 (按强度)适用于设计采用根数配筋时,其公式如下:

〔计算例〕 原设计采用4根
25(Ⅰ级钢),若用(Ⅱ级钢)
22代换钢筋需要几根?
