网站首页  词典首页


请输入您要查询的字词:

 

字词 钙离子含量测定
类别 中英文字词句释义及详细解析
释义

钙离子含量测定


1.EDTA容量法

(1)试剂配制:

①2N氢氧化钠溶液。

②其它试剂同钙镁离子总量测定。

(2)测定步骤:取与钙镁离子总量测定相同体积的水样,加2N氢氧化钠2-4ml,使pH达12以上。再加钙镁混合指示剂0.2g左右,用EDTA标准溶液滴定至溶液由红变蓝。记录EDTA标准液所用体积(ml)。

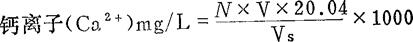
(3)结果计算

式中:20.04——钙的毫当量(mg);

其它符号同前。

2.原子吸收分光光度法先将水样用几滴1∶1盐酸酸化,即可按第十三章“土壤阳离子交换性能”中钙镁测定的原子吸收分光光度法进行测定。结果计算以每升水样含钙离子毫克数表示。

随便看

 

离鸟网收录3541549条中英文词条,其功能与新华字典、现代汉语词典、牛津高阶英汉词典等各类中英文词典类似,基本涵盖了全部常用中英文字词句的读音、释义及用法,是语言学习和写作的有利工具。

 

Copyright © 2004-2024 vtrois.com All Rights Reserved
更新时间:2026/4/18 10:57:56