网站首页  词典首页


请输入您要查询的字词:

 

字词 重量法
类别 中英文字词句释义及详细解析
释义

重量法


(一)试剂配制

2%碳酸钠:20g化学纯无水碳酸钠(Na2CO3)溶于水中,稀释成1L。

(二)测定步骤 取一定体积的水样(其烘干残渣重在50-500mg),注入预先称至恒重的50ml小烧杯或瓷蒸发皿中,准碓加入10ml2%碳酸钠,于水浴上蒸干。将上述蒸干的小烧杯放入烘箱中,逐渐升高温度至150-180℃,烘2-3h,然后取出放入干燥器中冷却20-30min,在分析天秤上称至恒重(W1),即可计算烘干残渣总量。

在上述测定烘干残渣总量的小烧杯中,滴加15%过氧化氢溶液,继续在水浴上加热去除有机质,再按上法蒸干后,称至恒重(W2)。即可计算盐分总量。

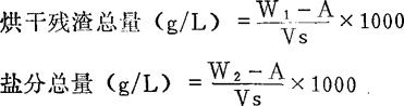
(三)结果计算

式中:W1——烘干残渣+所加碳酸钠重(g);

W2——盐分总量+所加碳酸钠重(g);

A——所加10ml 2%碳酸钠的溶质重(g);本操作为

Vs——测定水样毫升数。

(四)注释

①本项测定可作为水质的矿物质污染程度的指标之一。盐分总量不仅能反映水的总矿化度,而且可用来审查分析结果正确与否,因为正确的分析所测出的盐分总量应接近或略低于烘干残渣总量。

②测定时水样加入小烧杯或蒸发皿中,不应装满,以免溢出,一次不能将水样全部加入时,可待水样蒸干后分批加入。

③加入碳酸钠日的是使水样中盐分皆转变为碳酸盐。而使烘干过程中易达到完全脱水目的。尤其当水样中含有大量硫酸镁、硫酸钙及氯化钙、氯化镁等盐类时,前者蒸干后生成水合物,后者(氯化物盐类)有强烈的吸水性,不容易得到固定不变的重量。

随便看

 

离鸟网收录3541549条中英文词条,其功能与新华字典、现代汉语词典、牛津高阶英汉词典等各类中英文词典类似,基本涵盖了全部常用中英文字词句的读音、释义及用法,是语言学习和写作的有利工具。

 

Copyright © 2004-2024 vtrois.com All Rights Reserved
更新时间:2026/4/20 8:38:31