网站首页  词典首页


请输入您要查询的字词:

 

字词 醇溶耐晒火红B
类别 中英文字词句释义及详细解析
释义

醇溶耐晒火红B


〔名称〕醇

溶耐晒火红B

〔国内编号〕

颜料红33

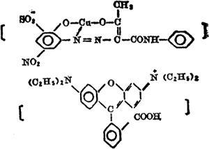
〔结构式〕

〔性质〕

红色粉末

〔制备方法〕

〔用途〕

1.苯胺革着色。

2.涂料、塑料等着色。

〔贮运使用注意事项〕

应存放于阴凉、干燥处,避免日光曝晒。

〔生产单位〕

上海染化十二厂。

随便看

 

离鸟网收录3541549条中英文词条,其功能与新华字典、现代汉语词典、牛津高阶英汉词典等各类中英文词典类似,基本涵盖了全部常用中英文字词句的读音、释义及用法,是语言学习和写作的有利工具。

 

Copyright © 2004-2024 vtrois.com All Rights Reserved
更新时间:2026/4/21 10:31:51