网站首页  词典首页


请输入您要查询的字词:

 

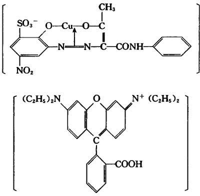
字词 醇溶耐晒大红B(3901醇溶耐晒大红B)
类别 中英文字词句释义及详细解析
释义

醇溶耐晒大红B(3901醇溶耐晒大红B)


【结构式】:

【释文】:

制法 由酸性络合黄(派拉丁黄)GRN经酸化后与碱性玫瑰精B混合沉淀而得。

性质 红色粉末。耐热性180℃。耐晒性6~7级,耐酸性1~2级,耐碱性3级,在95%乙醇中溶解度50g/L。

用途 本品可作为赛璐珞和透明漆的着色剂。色泽鲜艳透明,耐热性和耐光性较好。在乙醇中溶解度较高。

国内生产厂

上海染化十二厂 嘉定县华亭化工厂

随便看

 

离鸟网收录3541549条中英文词条,其功能与新华字典、现代汉语词典、牛津高阶英汉词典等各类中英文词典类似,基本涵盖了全部常用中英文字词句的读音、释义及用法,是语言学习和写作的有利工具。

 

Copyright © 2004-2024 vtrois.com All Rights Reserved
更新时间:2026/4/20 11:48:51