网站首页  词典首页


请输入您要查询的字词:

 

字词 邻苯二甲酸丁·苄酯
类别 中英文字词句释义及详细解析
释义

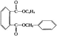
邻苯二甲酸丁·苄酯


【结构式】:

【释文】:

制法 邻苯二甲酸酐先与丁醇酯化形成邻苯二甲酸单丁酯,然后与氯化苄缩合而得。

性质 无色油状透明液体。微具芳香味。分子量312。酸值≤0.35mgKOH/g。皂化值355士5mgKOH/g。灰分≤0.02%。相对密度1.111~1.123(25℃)。粘度4.15×10-2Pa·s(25℃)、61~63×10-2Pa·s(20℃)。凝固点-35℃。沸点370℃(0.1MPa)、221℃(666Pa)。闪点(开杯法)199~210℃。着火点240℃。折光率1.535~1.540(25℃)。挥发速度0.0005g/cm2/h(105℃)。溶于一般的有机溶剂,极难溶于水,30℃在水中的溶解度为0.0003%。本品与大多数树脂有良好的相容性,溶剂化作用很强(见表1-14)。

表1-14 邻苯二甲酸丁苄酯对树醋的溶解作用(浓度5%)

用途 可作为聚氯乙烯、氯乙烯共聚物、纤维素树脂、天然橡胶和合成橡胶的增塑剂。高温挥发性小,耐热性、耐光性和耐寒性好。特别是在聚氯乙烯中可显着改善其加工性。本品还具有优良的电绝缘性、耐水性和耐油抽出性,动植物油对它的抽出量只有DOP的1/5~1/10。由本品增塑制得的制品抗污染,耐磨耗。本品多与其它增塑剂配合用于地板砖、瓦楞板等高填充塑料制品。作为辅助增塑剂本品与DOP等增塑剂并用于薄膜、人造革(本品能够溶解有机颜料),可赋予制品优良的透明性和表面光滑性。本品还可用于后发泡的压延配方,降低加工温度,避免发泡剂过早分解。本品用于乙基纤维素可制得透明坚韧的板材、薄膜、模制品和热熔粘合剂。以40%(重量)左右的量用于醋酸丁酸纤维素,可制得透明的革状薄片,用量较小时,可以配成适于挤塑和模塑的硬质料。本品用于硝酸纤维素漆中可以获得透明柔韧的漆膜,但耐光性不及使用DBP的漆膜。

毒性 邻苯二甲酸丁·苄酯的毒性低,毒性系数T=500,美国工业生物实验室以大白鼠(饲料中含本品2%)和狗(饲料中含本品5%)为对象,对本品进行过90天的经口亚急性毒性实验,未见实验动物有任何毒理学症状,本品在动物脏器内几乎全部水解为正丁醇和苯甲醇,这两种醇缓慢氧化排出体外。法国工业卫生和医学研究所用大白鼠对本品进行过长期毒性实验(剂量为5mg/d·kg体重,连续2年),亦未发现任何毒性和致癌性。

美国联邦法规(1964年)允许本品用于接触食品的材料,但应满足两个条件:①含量不超过1%;②氯仿抽出量不超过0.08mg/cm2。此外,美国食品药物管理局对本品在食品包装材料中的应用有具体规定(参见FDA121.2511,121.2526,121.2571)。法国规定本品在纯度达99%时,可用于接触食品的制品。英国规定本品在无毒塑料中的用量不得超过33%。日本、德国、荷兰均允许本品用于食品包装材料中。

国内生产厂

天津溶剂厂 温州市有机化工二厂 江苏无锡县有机化工厂

长沙有机化工厂

国外生产厂

随便看

 

离鸟网收录3541549条中英文词条,其功能与新华字典、现代汉语词典、牛津高阶英汉词典等各类中英文词典类似,基本涵盖了全部常用中英文字词句的读音、释义及用法,是语言学习和写作的有利工具。

 

Copyright © 2004-2024 vtrois.com All Rights Reserved
更新时间:2026/4/21 5:52:50