网站首页  词典首页


请输入您要查询的字词:

 

字词 连续型随机变量的概率分布
类别 中英文字词句释义及详细解析
释义

连续型随机变量的概率分布


概率密度函数 设随机变量X的分布函数为F(x),且有非负值函数f(x),如果f(t)dt,则称f(x)为X的概率密度函数,简称为密度函数.

概率密度函数的性质

(1)f(x)≥0.

(3)F(x)是连续函数.

(4)对任何点x,恒有P{X=x}=0.由此可想到,概率为0的事件,不一定是不可能事件.

(5)在f(x)的连续点,F(x)可导,且有F′(x)=f(x).

对任何值a,b,都有

由此可看出,对连续型随机变量,个别点(甚至有限个点)的存在与否,不影响区间上的概率值.

几个重要的连续型随机变量的概率分布

1.均匀分布X~U(a,b)

性质 若,则有(几何概率).

2.指数分布X~E(λ)

性质 若X~E(λ),则对任何正数x,x0,必有P{X>x+x0|X>x0}=P{X>x}.

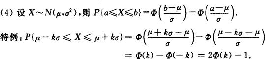
3.正态分布X~N(μ,σ2)

(1)x=μ是f(x)图形的对称中心,μ的大小影响图形的位置;

(2)σ的大小影响图形的形象,σ大,图形“矮胖”,σ小,图形“瘦高”.

标准正态分布:X~N(0,1),μ=0,σ=1.

重要性质:

(1)Φ(x)+Φ(-x)=1.

(2)Φ(x)-Φ(-x)=2Φ(x)-1.

(3)若X~N(μ,σ2),则.称X*为标准化随机变量.

由X得到X*这种做法叫正态分布的标准化步骤.解决正态分布的计算问题最重要的,首先要考虑的就是对X进行标准化.

它的等价形式为

P{|X-μ|≤kσ}=2Φ(k)-1.

此概率值与μ,σ的大小无关,只与k的数值有关.由此得出下面几个重要数字:

P{|X-μ|≤σ}=2Φ(1)-1≈2×0.8413-1=0.6826.

P{|X-μ|≤2σ}=2Φ(2)-1≈2×0.9772-1=0.9544.

P{|X-μ|≤3σ}=2Φ(3)-1≈2×0.9987-1=0.9974.

最后一个数值说明X落在区间[μ-3σ,μ+3σ]上的概率达到99.74%.它表明X落在上述区间之外的概率已不足0.3%.可以认为X几乎不在该区间之外取值.这个结果在专业上通常称为“3σ规则”.

4.Γ分布

设随机变量X,若X的概率密度函数为

则称X服从参数为λ,r的伽马分布,简称为Γ分布,记为X~G(λ,r),其中Γ(r)为Γ函数,定义为

Γ函数有下面的性质:

Γ(r+1)=rΓ(r),

并有

当r=1时,有

这时,X服从参数为λ的指数分布.说明指数分布是伽马分布的一个特例.X~E(λ),即X~G(λ,1).

随便看

 

离鸟网收录3541549条中英文词条,其功能与新华字典、现代汉语词典、牛津高阶英汉词典等各类中英文词典类似,基本涵盖了全部常用中英文字词句的读音、释义及用法,是语言学习和写作的有利工具。

 

Copyright © 2004-2024 vtrois.com All Rights Reserved
更新时间:2026/4/20 7:17:39