网站首页  词典首页


请输入您要查询的字词:

 

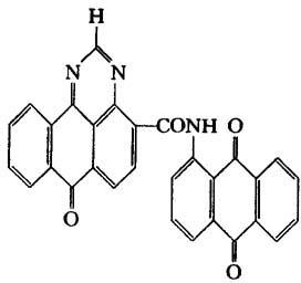
字词 还原黄4GF
类别 中英文字词句释义及详细解析
释义

还原黄4GF


【结构式】:

【释文】:

性质 本品于碱性液中遇保险粉为红棕色。在棉上的染色坚牢度为:耐晒7级,耐洗5级。

用途 本品为还原染料,主要用于棉布印染,也可作为聚乙烯、聚丙烯、聚苯乙烯等塑料的着色。

国内生产厂 上海染化十一厂

国外生产厂

随便看

 

离鸟网收录3541549条中英文词条,其功能与新华字典、现代汉语词典、牛津高阶英汉词典等各类中英文词典类似,基本涵盖了全部常用中英文字词句的读音、释义及用法,是语言学习和写作的有利工具。

 

Copyright © 2004-2024 vtrois.com All Rights Reserved
更新时间:2026/4/21 15:18:05