网站首页  词典首页


请输入您要查询的字词:

 

字词 运用专家调查法评价煤矿的生产经营状况
类别 中英文字词句释义及详细解析
释义

运用专家调查法评价煤矿的生产经营状况


目前,考核我国工业企业生产经营状况时,常用以下8项技术经济指标:产量、品种、质量、原材料、燃料、动力消耗、劳动生产率、流动资金周转、成本和利润。在比较两个企业完成状况的好坏时,如果其中一个企业的各项指标优于(或劣于)另一个企业时,则问题简单,答案是肯定的,但是这种情况是不多的。大量的情况是其中一个企业的一些指标优于另一个企业,而另一些指标却劣于另一个企业。此时,往往会出现争执不下、难分高低的情况。因此,如何将不同质的指标化为一个扩大的单一综合指标,就显得大有必要。专家调查法是解决这个问题的一种行之有效的方法。

下面,就如何运用此法来评价煤矿经营状况好坏的情况作一介绍。

一、收集资料

由于各矿规模、地质条件及机械化程度不同,仅用实际完成值相比,有时并不能确切地反映某一个矿经营得好坏,如果参照各项指标的计划值去进行比较,效要好一些,因此,必须同时收集每一个企业的各项指标实际完成值与计划要求数。

二、整理加工

因为每一项指标都可以与其计划数相比较,所以,可以采用对比法将每一项效果指标化为标准指标。不过,这里需要说明的是,其中有些指标值越大越好,如产量、效率、利润等;而有些指标值却越小越好,如质量、消耗、流动资金占用和成本等,因此,还必须将它们统一。由于一般给人们的印象是数值越大越好,这样,可能值越小越好的指标也统一成越大越好。统一的办法是,对于值越大越好的指标,它的标准值用实际值除以计划值求得,而对于值越小越好的指标,则用计划值除以实际值求得。

另外,还需要说明的是:

(1)由于苏南各矿原煤品种单一,故一般均不考核该项指标;对其它矿进行分析评价时,则可根据实际情况,决定对品种指标的考核与否。

(2)原煤质量指标一般考核灰分与含矸率两项,由于这两项指均反映了原煤成份中不可燃物质所占比例,因此可以将它们相加后综合考虑。

(3)消耗指由于各矿考核的内容不一,且项目繁多,故首先需把它们统一成价值指标,即每吨需多少元,然后相加进行全面考虑。

三、引进指标

为了对某个企业进行全面评价,必须引进一个扩大的综合指标Z

式中:

Zi为第i个企业的综合指标;

aj为第j个企业的期望权系数;

xij为第i个企业第j个指的指标值;

M为评价企业的指标个数

从上式可知,欲求Zi,则关键是确定指标的期望权系数aj。下面扼要介绍用“专家调查法”来确定aj的具体步骤。

1.邀请填表

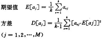
邀请一批有经验的专家(所谓专家,实质上包级各极领导、工程技术人员与老工人等方面有代表性的人物),请他们对每个指标的系数发表意见。为了防止专家发表意见时受少数权威意见所左右,发生盲从或不敢公开发表违背权威意见的情况,应由每个专家在事先印好的表上,独立地对每个指权系数发表意见(“即背靠背”地填表),并使:

2.列表计算

将调查到的结果如表1所列,并计算每个指标权系数的期望值及其离差。

表1

其中,期望值由下式估算:

式中:

e为专家号;

k为专家个数。

离差:

Δej=aej-E[aj]

3.辩论求同

请专家们讨论调查的结果,尤其请离差最大的专家发表自己所填权系数的理由,通过辩论,可消除对所评价的效果指标的误解,以便求大同存小异。

4.再次填表

进行第二次专家调查,调查方法同前,也将调查结果列表,并根据表中数值估算数学期望值及方差。

四、检验比较

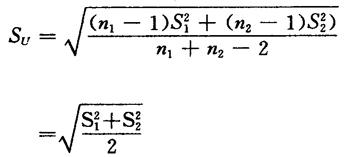
当求得权系数的期望值与方差以后,则可利用有关检验公式,来决定评比差异的统计必然与否。根据问题的性质。可用正态总体均值差的假设检验方法,去评价两者之间的差距。

原假设为H0:E[Z1]=E[Z2]

备择假设为H1:E[Z1]>E[Z2],或E[Z1]<E[Z2]。由于总体方差属于未知,故采用下面的公式进行检验:

在显着性水平为a时,若

则拒绝H0,接受H1。否则接受H0,拒绝H1

式中:

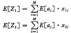
E[Z1]、E[Z2]分别为两个企业的综合目标期望值。它们可按下式估算:

n1=n2为调查的专家数。

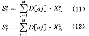
其中S与S分别为两个企业综合指标的方差。它们可按下式估算。

现举例说明如下:

现有甲、乙两矿,它们各项技术经济指标的实际完成值与计划完成值如表2所示:

表2

首先将甲、乙两矿各项指标化成标准值,结果如表3所示。

表3

经向20位专家调查,各权系数的期望及均方差估算值如表4。

表4

按(8)、(9)式求综合目标的期望值:

E[Z]=1.068×0.2238+0.798×0.1738+0.896×0.0964+1.011×0.1464+0.972×0.0786+1.033×0.1631+0.562×0.1179=0.923

E[Zz]=1.006×0.2238+1.054×0.1738+1.003×0.0964+0.966×0.1464+1.003×0.0786+1.039×0.1631+1.073×0.1179=1.026

按(11)、(12)式求综合目标的方差:

S=(0.0232)2×(0.068)2+(0.0138)2(0.798)2+(0.0104)2×(0.896)2+(0.0135)2×(1.011)2+(0.0081)2×(0.972)2+(0.0168)2×(1.033)2+(0.0151)2×(0.562)2=0.0014

S=(0.0232)2×(1.006)2+(0.0138)2×(1.054)2+(0.0104)2×(1.003)2+(0.0135)2×(0.996)2+(0.0081)2×(1.003)2+(0.0168)2×(1.039)2+(0.0151)2×(=1.073)2=0.0017

按(10)式求Sw

当取显着性水平a=0.05时,查t分布表可知

t0.05(38)=1.686

|E[Z]-E[Z]|=|0.923-1.026|=0.103>0.030

根据检验原则,应拒绝H0,接受H1∶E[Z]<E[Z]这说明在显着性水平为0.05小时,乙矿的经营水平优于甲矿的经营水平。

随便看

 

离鸟网收录3541549条中英文词条,其功能与新华字典、现代汉语词典、牛津高阶英汉词典等各类中英文词典类似,基本涵盖了全部常用中英文字词句的读音、释义及用法,是语言学习和写作的有利工具。

 

Copyright © 2004-2024 vtrois.com All Rights Reserved
更新时间:2026/4/18 12:20:56