网站首页  词典首页


请输入您要查询的字词:

 

字词 边际效用递减规律
类别 中英文字词句释义及详细解析
释义

边际效用递减规律


一定时间内消费者对某一物品最末一单位的消费增量中所获得的欲望满足程度,随着该物品消费量的增加而呈现递减趋势,即物品的边际效用随着消费量的增加是递减的。

德国经济学家戈森(H.H.Gossen)在1854年提出这一定律,故又称“戈森第一定律”。例如消费者在特定时期食用面包的总效用、边际效用如下表所示:

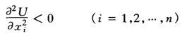
此表说明,随着商品消费单位的增加,边际效用递减。边际效用递减规律常被用来解释需求曲线为何向下倾斜。当消费量增加时,其边际效用减少,用价格表示的边际效用也随之下降,因此,需求曲线向下倾斜。在如下的效用函数中:

U=U(x1,x2,…,xn)

边际效用递减意味着:

边际效用递减是比边际替代率递减更强的有关消费者行为的假设。只要效用函数满足严格拟凹性就能保证边际效用递减。

边际效用递减规律是以某一特定时间为限,且是针对某一特定欲望而言的。如果时间和欲望改变,此规律便不再适用。其实,即便在此规律适用条件之内,也有例外存在。

如集邮者对成套邮票的搜集,最后得到的那枚邮票对他的效用不是最小,而是最大。由于效用的主观性,边际效用递减规律也被看成是心理规律。同其他递减规律一样,边际效用递减规律是市场均衡存在的重要前提。

〖参〗边际替代率递减规律

随便看

 

离鸟网收录3541549条中英文词条,其功能与新华字典、现代汉语词典、牛津高阶英汉词典等各类中英文词典类似,基本涵盖了全部常用中英文字词句的读音、释义及用法,是语言学习和写作的有利工具。

 

Copyright © 2004-2024 vtrois.com All Rights Reserved
更新时间:2026/4/19 18:48:18