网站首页  词典首页


请输入您要查询的字词:

 

字词 辣椒红
类别 中英文字词句释义及详细解析
释义

辣椒红


别名 辣椒红色素、辣椒油树脂

编码 GB 08.106;INS 160C

化学结构 主要着色成分为(Ⅰ)辣椒红素和(Ⅱ)辣椒玉红素,属类胡萝卜素。此外,还含有一定量非着色成分辣椒素(Ⅲ)。

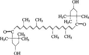
(Ⅰ)辣椒红素(Capsanthin)

C40Hs6O3 相对分子质量 584.85

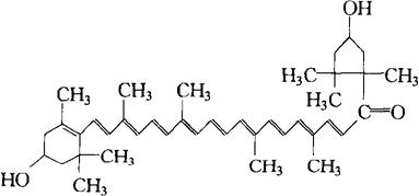
(Ⅱ)辣椒玉红素(Capsorubin)

C40H56O4 相对分子质量 600.85

(Ⅲ)辣椒素(Capsaicin):目前所知呈辣味组分有14种,其基本结构骨架相同,只是侧链的R基团有差异。

辣素:R=-(CH2)4-CH=CH-(CH3)2

C18H27NO3 相对分子质量 305.40

二氢辣素:R=-(CH2)6-CH-(CH3)2

降二氢辣素:R=-(CH2)5-CH=CH-(CH3)2

高二氢辣素:R=-(CH2)7-CH=CH-(CH3)2

高辣素:

R=-(CH2)4-CH=CH-CH2-CH-(CH3)2

上述前两种的含量占辣味组分含量的80%以上。前5种的含量占辣味组分含量的90%以上。其余的含量甚微。

性状 深红色粘性油状液体。依来源和制法不同,具有不同程度的辣味。在石油醚(汽油)中最大吸收峰波长为475.5nm,在正己烷中为504nm,在二硫化碳中为503nm和542nm,在苯中为486nm和519nm。可任意溶解于丙酮、氯仿、正己烷、食用油。易溶于乙醇,稍难溶于丙三醇,不溶于水。本品耐光性差,波长210~440nm,特别是285nm紫外光可促使本品褪色。对热稳定,160℃加热2h几乎不退色。Fe+3、Cu+2、Co+2可使之退色。遇Al+3、Sn+2、Pb+2发生沉淀,此外,几乎不受其他离子影响。着色力强。色调因稀释浓度不同由浅黄至橙红色。

制法 将茄科植物辣椒(Capsicum annum L.)的成熟干燥果实之果皮粉碎后,用乙醇、丙酮、异丙醇或正己烷抽提,滤液经纯化加工而制得。

质量标准

注:中国辣椒红标准有待修订(参见辣椒橙)。

毒理学依据

1.LD50 小鼠口服大于75mL/kg(bw)(雄性)(油溶型色素);

小鼠腹腔注射大于50mL/kg(bw)(雄性)(油溶型色素)。

小鼠口服大于75g/kg(bw)(雄性)(水分散型色素);

小鼠腹腔注射大于50g/kg(bw)(雄性)(水分散型色素)。

2.ADl 不能提出(FAO/WHO,1994)(本品安全性高,现各国均许可使用)。

使用 着色剂。

1.使用注意事项

(1)本品不耐光照,特别是285nm波长光使之迅速退色,因此,应尽量避光。L-抗坏血酸对本品有保护作用,一般用量0~5g/L。

(2)本品经乳化可制成水溶性或水分散性色素,可用于饮料、冰棍、冰淇淋、雪糕等。

2.使用范围及使用量

(1)我国《食品添加剂使用卫生标准》(GB 2760-1996)规定:可用于冰淇淋、糕点上彩装、雪糕、冰棍、饼干、熟肉制品、人造蟹肉、酱料、糖果,按生产需要适量使用。

(2)FAO/WHO(1984)规定:用于加工干酪,按良好生产规范;用于黄瓜,300mg/kg(单用或合用)。

随便看

 

离鸟网收录3541549条中英文词条,其功能与新华字典、现代汉语词典、牛津高阶英汉词典等各类中英文词典类似,基本涵盖了全部常用中英文字词句的读音、释义及用法,是语言学习和写作的有利工具。

 

Copyright © 2004-2024 vtrois.com All Rights Reserved
更新时间:2026/4/19 3:30:09