网站首页  词典首页


请输入您要查询的字词:

 

字词 辣椒红
类别 中英文字词句释义及详细解析
释义

辣椒红


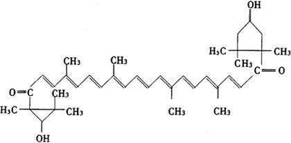
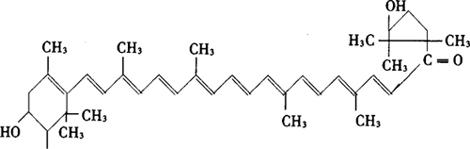
结构式:主要着色成分为(Ⅰ)辣椒红素和(Ⅱ)辣椒玉红素,属类胡萝卜素。此外还含有-定量非着色成分辣椒素(Ⅲ)。

(Ⅰ)辣椒红素(Capsanthin)

分子式:C40H56O3

相对分子质量:584.85

(Ⅱ)辣椒玉红素(Capsorubin)

分子式:C40H56O4

相对分子质量:600.85

(Ⅲ)辣椒素(Capsaicin):目前所知呈辣味组分有14种,其基本结构骨架相同,只是侧链的R基团有差异。

辣素:R=-(CH2)4-CH=CH-(CH3)2

分子式:C18H27NO3

相对分子质量:305.40

二氢辣素:R=-(CH2)6-CH-(CH3)2

降二氢辣素:R=-(CH2)5-CH-(CH3)2

高二氢辣素:R=-(CH2)7-CH-(CH3)2

高辣素:R=-(CH2)4-CH=CH-CH2-CH-(CH3)2

一、辣椒红的鉴别

1.溶解性

易溶于植物油、丙酮、乙醚、三氯甲烷,溶于乙醇,不溶于甘油和水。

2.显色反应

在1滴试样中加2~3滴三氯甲烷和1滴硫酸,应呈现深绿色。

3.酸碱反应

3.1 试剂。

3.1.1 盐酸。

3.1.2 氢氧化钠。

3.1.3 乙酸乙酯。

3.2 测定方法。

3.2.1 取试样0.1g,溶于1mL乙酸乙酯中,溶液为澄明的红色液体。

3.2.2 取3.2.1溶液0.5mL,加入10%盐酸0.5mL剧烈振荡,静置15min,一层乙酸酯溶液仍呈红色。

3.2.3 取3.2.1溶液0.5mL,加入4%氢氧化钠水溶液0.5mL剧烈振荡,静置15min,上层乙酸乙酯溶液仍呈红色。

4.最大吸收峰

准确称取0.100g样品,于100mL容量瓶中,以丙酮溶解至刻度,充分摇匀后,用丙酮作参比液,用分光光度计测定最大吸收峰。

二、辣椒红的吸光度测定(色价)

1.试剂和溶液

丙酮。

2.仪器

分光光度计。

3.测定方法

准确称取0.1g试样,精确至0.0002g,用丙酮稀释于100mL容量瓶中,再精确吸取稀溶液100mL,稀释至100mL,用分光光度计于波长460nm处,用丙酮作参比液,于1cm比色皿中测定其吸光度。

注:比色液的吸光度范围在A=0.30~0.70。如比色液的A大于0.70,则需用丙酮稀释至原浓度的一半,若比色液的A小于0.30,则须弃去,用较大试样量重新制备比色液。

4.分析结果的表述

式中 (460nm)——被测试样为1%,1cm比色皿,在最大吸收峰460nm处的吸光度

A——实测试样的吸光度

f——稀释倍数

m——试样质量,g

随便看

 

离鸟网收录3541549条中英文词条,其功能与新华字典、现代汉语词典、牛津高阶英汉词典等各类中英文词典类似,基本涵盖了全部常用中英文字词句的读音、释义及用法,是语言学习和写作的有利工具。

 

Copyright © 2004-2024 vtrois.com All Rights Reserved
更新时间:2026/4/20 11:46:13