网站首页  词典首页


请输入您要查询的字词:

 

字词 资本支出预算
类别 中英文字词句释义及详细解析
释义

资本支出预算


在西方国家里,应用期在一年以上的支出,称为资本支出,其内容为土地、房屋、设备、工厂扩建等。虽然资本支出也包括影响期超过一年的广告费和新产品研究费,但传统上系指用于固定资产的投资。按投资性质,资本支出大体可分为四种:

1、重置:因固定资产磨损或技术陈旧,重置更新;

2、扩建或改良:趁重置机会,用新的、效率更高的设备;或增加若干设备,扩大原有生产线;

3、新辟生产线;

4、其他非直接生产性的投资。

此外,企业长远盈利目标的战略性决策的支出,如向海外扩展业务、实行兼并等等的投资,也称为资本支出。

西方企业以盈利为唯一目的,因此对一项新的或扩大的业务作出是否投资的决策的依据,无非是将投资所能取得的收益与所需的开支进行比较分析,权衡其利弊得失。这就是资本预算所要研究的内容。

资本支出预算是遵循边际收入应大于边际成本的原则编制的。企业的边际收入,指企业额外增加1个单位产品,在原有销售收入基础上所增加的收入额,亦称增量成本。西方企业的经营原则是以最小的成本垫支取得最大的利润,所以西方企业对新投资作出决策时,绝不是只着眼于因投资而引起的收益和支出的增加额绝对数的大小,而是更多地着眼于这些收益和支出额与投资额的比率。由于这个原因,在资本预算中,边际收入用投资利润率来反映;而边际成本则用资本成本来反映。所谓资本成本,就是按照市场上的贴现率所计算的资本利息率。

从原则上说,企业所编制的资本预算,应力求资本利润率大于资本成本。但实际情况却要复杂得多。在有关投资的建议项目中,有些项目是“各管各”的,互不相关,只要投资利润率高于资本成本,在预期的投资总额限度内,投资了A项,也可以同时投资于B.C.D等项。在这种情况下,不难作投资决策。但是有些投资项目却是互相排斥的,有些可能是同一个工程项目的两种或两种以上的投资方案中选取其一等等。在这样复杂的情况下,如何编制好资本支出预算以利于企业管理当局作出投资决策呢?一般有五种做法,即:净现值法;现值指数法;内含报酬率法;回收期法;投资报酬率法。下面分别进行简略的介绍。

一、净现值法

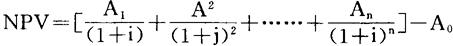
净现值是该项投资方案未来现金流入的现值同期现金流出的现值(即原始投资)之间的差额。如净现值为正确,则投资是可行的;如净现值为负数,则投资是不可行的。净现值越大,投资的机会愈多。净现值法制计算公式是:

上式中:NPV=净现值

A1、A2……AN=未来各期(1-n期)的资金流入量;i=利率;n=期数;A0=原始投资。

现举例说明:

设某厂现有两种投资方案,试用净值法选择最优方案,有关资料如图表6-17所示。

图表6-17

如果不考虑货币的时间价值,一定会对A方案感兴趣,因为它能够提供2000元的收益。但是,这样判断是不科学的,我们应该考虑货币的时间价值,以净现值法来测算两个方案的优劣。假定企业希望货币的时间价值为10%,以此作为最低期望报酬率,现计算两方案的净现值。如图表6-18和图表6-19所示。

图表6-18

上表中,净现值=[1000×0.909+1000×0.826+1000×0.751+14000×0.683]-10000×=12048-1000=2048(元)。

图表6-19

由此可见,一旦考虑货币时间价值,尽管A方案的总收益比B方案多2000元,但B方案的净现值却大于A方案。虽然两方案都是正现值,可是投资于B方案能取得更大的经济效益。

净现值法的主要优点是:它充分考虑了利息因素对未来不同时期现金流入量的影响,使有关方案的现金流入同资出流出具有一定可比性,可以较好地反映各该方案投资的经济效益。净现值也有不足之处,这就是:它只考虑了有关方案未来不同时期现金流入量在价值上差别,而没有考虑不同方案原始投资在量上的差别;它只侧重于按净现值这一绝对数的大小来评析投资方案的优劣,因而不便于了解有关方案实际可以达到的投资报酬水平。

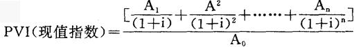
二、现值指数法

现值指数法也叫利益/成本比率法,它是投资方案未来现金流入量的现值同其原始投资的比值,用以说明单位投资额在未来可获得的现金流入量的现值水平。现值指数法的计算公式是:

〔例〕设某厂计划进行某项长期投资,预定投资报酬率为12%,现有A、B两方案,有关资料见图表6-20所示。

图表6-20

首先计算A、B两方案的现金流入量的现值如如图表6-21所示。

然后,计算甲、乙两方案的现值指数:

图表6-21

上述计算结果表明,A方案的现值指数为0.9744(小于1),这说明该方案的全部资金流入的现值不足以弥补现金流出的现值。

“所费”大于“所得”,因而,这一投资方案是不可取的。B方案的现值指数为1.162(大于1),这说明该方案未来的全部现金流入的现值除弥补其现金流出的现值之外,还有剩余,在经济上有利可图,因而它是本厂在现有条件下的最佳投资方案。

由于这种方法对投资经济效益的评析不是从有关方案的现金流出现值(原始投资)和现金流入现值之差出发,而是以这二者之间的比值为决策依据。因此不仅使用同一方案的现金流入与现金流出具有可比性,而且使不同的方案之间也具有可比性,有利于对有关投资方案的经济效益作出比较正确的评价。

三、内含报酬率法

内含报酬率法是使某投资方案未来各期现金流入量的现值同其现出流流出的现值保持相等的利率,亦即使该方案的净值为零的利率。内含报酬率是一未知的利率,它是用逐次测试法计算求得的,其具体计算过程是:

1.设内含报酬率(命名净值为零的利率)为ir,使净现值为正值的利率(低于ir)为i1,使净现值为负值的利率(高于ir)为i2,则ir必在i1和i2之间。

2.按照利率ir的对未来各期的资金流入进行贴现,使贴现总额回原始投资的差额(净现值)为正数。

3.再按照利率i2对未来各期的现金流入进行贴现,使贴现总额同原始投资的差额(净现值)为负数。

4.于上述两种正、负不同的净现值中计算可使净现值为零(或近似于零)的内含报酬率(ir)。

根据以上说明,可见内含报酬率的计算公式应为:

上式中:ir=使净现值为负值的低利率;

i1=使净现值为负值的低利率;

i2=使净现值为负值的高利率;

NPV1=按低利率计算的净现值(正值);NPV2=按高利率计算的净现值(负值)。

按上式计算ir时,上式中的分母NPV1+NPV2,就按NPV2的绝对值进行相加。

〔例〕某厂拟将资金20000元用于一项为期五年的长期投资,其每年现金流入量如图表6-22所示。

图表6-22

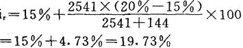
现根据上述资料计算该投资方案的内含报酬率如下:设i1=15%,则其净现值如图表6-23所示。

图表6-23

设i2=20%,则其净现值如图表6-24

图表6-24

以上计算结果表明:该项投资的内含报酬率为19.73%。再将这个报酬率和该厂所预期的图表6-24

最低投资报酬率(或标准投资报酬率)比较,如果前者大于后者,则该项投资方案是可取的;反之,则是不可取的。

从计算数值上看,内含报酬率是一种能使有关方案的净现值等于零的特殊利率;但从其实质上看,它却是有关投资方案所内含的,将来实际可以达到的投资报酬率。内含报酬率的计算方法虽然比较复杂,但是它可有效地克服净现值法和现值指数法不能具体确定有关方案实际上可以达到的投资报酬率的缺陷,从而使长斯投资经济效益的评价更加趋于精确化。由于它可以正确反映各项投资方案的真实报酬究竟是多少?故目前世界银行对投资项目进行评价时,基本上都普遍运用内含报酬法。

四、投资回收期法

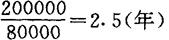
投资回收期也叫偿还期或还本期,它是表示投资和成本之间对比关系的一个重要指标。用投资回收期法来进行长期决策分析,实际上就是要计算全部收回某方案的原始投资所需要的期限,按回收期限的长短来确定有关方案的优劣。投资回收期越短,表明有关方案回收投资的速度越快,其投资价值就越大,投资效果也就越好,因而该方案也就是优。投资回收期的计算公式是:

现举例说明:

〔例〕设某企业拟进行一项投资项目,有A、B、C三种方案可供选择,有关现金流量的资料如图表6-25所示。为简化起见,假定固定资产报废时无残值,并且不考虑流动资金的投资,表中现金流出量用括弧来表示,无括弧者均为现金流入量。

图表6-25

图表6-25中,A方案的现金流入量相同,其回收期即为:

上述B方案的回收期在2年以上,3年以下,C方案的回收期在1年以上,2年以下。现作具体计算如下:

从上述计算可知,C方案的回收期最短,B方案次之,A方案最长。一般地说,回收期在每年现金流量不相等的情况下,回收期的计算要考虑累计的现金流入量。图表6-25中的B、C方案累计的现金流入量,表示投资的周转快,投资过程中所承提的风险也较小。

回收期法的优点是便于计算和易于理解,有利于促使企业为缩短周期而努力,尽早收回投资。但是,这一方案有两个主要缺点;其一是忽视货币的时间价值,其二是没有考虑投资收回后的现金流入量和整个投资项目的盈利程度。因此,这个方法只能应用于对几个备选方案的初步评价,不宜据以作出正式决策。

图表6-26

五、投资报酬率法

投资报酬是一定投资额所带来或取得的收益,投资报酬率的计算公式是:

现举例说明:

〔例〕设某厂计划兴建土建工程,现拟A、B两个方案,有关资料如图表6-27所示。

图表6-27

现根据该资料计算A、B两方案的投资报酬率。

首先,计算A、B两方案的年平均净收益。

其次,计算A、B两方案的平均投资:

最后,计算A、B两方案的投资报酬率:

投资报酬率法的优点是:通过计算投资报酬率,将有关方案的总效益(收益)与其资源的使用(投资)紧密地联系起来,故能较为有效地衡量各该方案的投资经济效益。因此,这种方法在实际工作中应用较为广泛。其缺点是:由于这种方法只是考虑了净收益的作用,而没有考虑现金流量的影响,加上这个指标又是一个相对数(比率),因此容易给决策分析带来障碍(假象),从而可能会诱使决策者作出错误的决策。

随便看

 

离鸟网收录3541549条中英文词条,其功能与新华字典、现代汉语词典、牛津高阶英汉词典等各类中英文词典类似,基本涵盖了全部常用中英文字词句的读音、释义及用法,是语言学习和写作的有利工具。

 

Copyright © 2004-2024 vtrois.com All Rights Reserved
更新时间:2026/4/17 23:16:18