网站首页  词典首页


请输入您要查询的字词:

 

字词 诱惑红
类别 中英文字词句释义及详细解析
释义

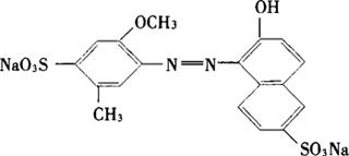
诱惑红


结构式

分子式:C18H14N2Na2O8S2

相对分子质量:496.42

一、诱惑红的鉴别

见本章第一节“一、苋菜红的鉴别”。

二、诱惑红的含量测定

见本章第一节“二、苋菜红的含量测定”。试样量为0.5~0.6g。每毫升0.1mol/LTiCl3相当于诱惑红0.01241g。

三、食品中诱惑红的测定

(一)第一法 比色法

1.原理和溶液

诱惑红在酸性条件下被聚酰胺粉吸附,而在碱性条件下解吸附,再用纸色谱法进行分离后,与标准比较定性、定量。

2.试剂和溶液

2.1 石油醚 沸程30~60℃。

2.2 甲醇。

2.3 聚酰胺粉(尼龙6) 80目。

2.4 硫酸(1+10)。

2.5 氢氧化钠溶液 50g/L。

2.6 海沙 先用盐酸(1+10)煮沸15min,用水洗至中性,再用氢氧化钠(50g/L)煮沸15min,用水洗至中性,再用105℃干燥,储于具塞瓶中保存,备用。

2.7 乙醇溶液 50%(体积分数)。

2.8 乙醇-氨溶液 取2mL氨水,加70%(体积分数)乙醇至100mL。

2.9 pH6的水 用20%柠檬酸调至pH6。

2.10 柠檬酸溶液 200g/L。

2.11 钨酸钠溶液 200g/L。

2.12 诱惑红标准溶液 准确称取0.025g诱惑红,加水溶解,并定容至25mL,即得1mg/mL。

2.13 诱惑红的标准使用液 吸取诱惑红标准溶液5.0mL于50mL容量瓶中,加水稀释到50mL,即得0.1mg/mL。

2.14 展开剂。

2.14.1 丁酮+丙酮+水+氨水(7+3+3+0.5)。

2.14.2 正丁醇+无水乙醇+1%氨水(6+2+3)。

2.14.3 2.5%柠檬酸钠+氨水+乙醇(8+1+2)。

3.仪器

3.1 可见分光光度计。

3.2 微量注射器10μL、50μL。

3.3 展开槽。

3.4 电吹风机。

3.5 中速滤纸,纸色谱用滤纸。

3.6 恒温水浴锅。

3.7 台式离心机。

4.操作步骤

4.1 样品的处理。

4.1.1 汽水:将样品加热去二氧化碳后,称取10.0g样品于烧杯中,然后用20%柠檬酸调pH呈酸性,加入0.5~1.0g聚酰胺粉吸附着色剂,将吸附着色剂的聚酰胺粉全部转到漏斗中过滤,用pH4的酸性水洗涤多次(约200mL),以洗去糖等物质。若有天然着色剂,用甲醇-甲酸溶液洗涤1~3次,每次20mL,至洗液无色为止。再用70℃的水多次洗涤至流出液中性。洗涤过程必需充分搅拌然后用乙醇-氨水溶液分次解吸着色剂,收集全部解吸液,于水浴上驱除氨,蒸发至2mL左右,转入5mL的容量瓶中,用50%的乙醇分次洗涤蒸发皿,洗涤液并入5mL的容量瓶中,用50%的乙醇定容至刻度。此液留作纸色谱用。

4.1.2 硬糖:称取10.0g已粉碎的样品,加30mL的水,温热溶解,若样品溶液的pH较高,用柠檬酸溶液调至pH4左右。以下按4.1.1自“加入聚酰胺粉吸附着色剂……”起进行操作。

4.1.3 糕点:称取10.0g已粉碎的样品,加入30mL石油醚提取脂肪,共提3次,然后用电吹风吹干,倒入漏斗中,用乙醇-氨解吸色素,解吸液于水浴上蒸发至20mL,加入1mL硫酸(1∶10),1mL钨酸钠溶液沉淀蛋白,真空抽滤,用乙醇-氨解吸滤纸上的诱惑红,然后将滤液于水浴上挥去氨,调pH呈酸性,以下按4.1.1自“加入聚酰胺粉吸附着色剂……”起进行操作。

4.1.4 冰淇淋:称取10.0g已均匀的样品于烧杯中,加入20g海沙,15mL石油醚提去脂肪,提取2次,倾去石油醚,然后在50℃水浴上挥去石油醚,再加入乙醇——氨解吸液解吸诱惑红,解吸液倒入100mL蒸发皿中,直至解吸液无色。将解吸液于水浴上挥去乙醇,使体积约为20mL时,加入1mL硫酸(1∶10),1mL钨酸钠溶液沉淀蛋白,放置2min,然后用乙醇-氨溶液调pH呈碱性,将溶液转入离心管中,5000r/min,离心15min,倾出上清液,于水浴上挥去乙醇,然后用柠檬酸溶液调pH呈酸性,以下按4.1.1自“加入聚酰胺粉吸附着色剂……”起进行操作。

4.2 定性 取色谱用纸,在距底边2cm起始线上分别点3~10μL的样品处理液,1mL色素标准液,分别挂于盛有2.14.1、2.14.2、2.14.3展开剂的展开槽中,用上行法展开,待溶剂前沿展至15cm处,将滤纸取出空气中晾干,与标准斑比较定性。

4.3 测定。

4.3.1 标准曲线的制备:吸取0.0,0.2mL,0.4mL,0.6mL,0.8mL,1.0mL诱惑红标准使用液,分别置于10mL比色管中,各加水稀释至刻度。用1cm比色杯,以零管调零点,于波长500nm处测定吸光度,绘制标准曲线。

4.3.2 样品的测定:取色谱用纸,在距离底边2cm处的起始线上,点0.20mL样品处理液,从左至有点成条状。纸的右边点诱惑红的标准溶液1μL,依法展开,取出晾干。将样品的色带剪下,用少量热水洗涤数次,洗液移入10mL的比色管中,加水稀释至刻度,混匀后,与标准管同时在500nm处,测定吸光度。

5.分析结果的表述

式中 x——样品中诱惑红的含量,g/kg

m1——测定用样品中诱惑红的含量,mg

m——样品质量,g

V1——样品解吸后总体积,mL

V2——样品纸层析用体积,mL

6.允许差

方法最低检出限为25mg/kg。标准曲线线性范围为0~12mg/L。方法回收率为82%~99%。

(二)第二法 微机极谱法

见本章第一节“三、食品中合成着色剂的测定”。

四、诱惑红铝色淀

Fancy Red Aluminum Lake

(Allura Red Aluminum Lake)

本品为展布于氧化铝水合物上的水溶性食品着色剂诱惑红的铝色淀。

诱惑红铝色淀鉴别方法:

(1)本品0.1g加稀硫酸(1+20)5mL,混匀后再加入乙酸氨溶液(3+2000)至100mL,如溶液混浊,可以离心处理。另取澄清液1~10mL,为使吸收系数控制在0.2~0.7,加乙酸铵溶液(3+2000)使成100mL。溶液的最大吸收波长为(499±2)nm。

(2)本品0.1g加硫酸5mL,于水浴上加热5min,时时摇动之,溶液呈紫红色,冷却后,取上层澄清液2~3滴加入至5mL水中,溶液显红色。

(3)本品0.1g加盐酸(1+3)10mL,在水浴上加热溶解,加入活性炭0.5g,摇动并过滤,滤液加氢氧化钠溶液(1+10)中和后测铝盐。

随便看

 

离鸟网收录3541549条中英文词条,其功能与新华字典、现代汉语词典、牛津高阶英汉词典等各类中英文词典类似,基本涵盖了全部常用中英文字词句的读音、释义及用法,是语言学习和写作的有利工具。

 

Copyright © 2004-2024 vtrois.com All Rights Reserved
更新时间:2026/4/20 9:22:37