网站首页  词典首页


请输入您要查询的字词:

 

字词 试验结果的显着性测定
类别 中英文字词句释义及详细解析
释义

试验结果的显着性测定


田间试验结论一般都应进行相应的显着性水平测定,表示试验结论是否可信,可信的程度如何。在肥料一般田间试验中,常用的可信程度的假设测验有:两个样本的t测验,以及相关系数的显着性测定;方差分析有F测验和多重比较(L.S.D或LSR)。通过以上试验数据的归纳和统计推断,能够对试验结果的可靠性作出科学的结论。

1.t测验 样本数≤2,常用t测验。在肥料试验中常见的有以下几种。

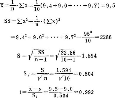
(1)单个样本平均数测验 例题:已知某种肥料每公斤养分平均能增产小麦μ=9.0公斤,引进肥料在此地进n=10次试验,每公斤养分增产小麦分别为9.4、9.0、10.2、12.3、6.7、11.2、8.5、10.0、8.0、9.7(公斤),试问引进肥料与原肥料的肥效有无显着差异(t0.05)?

n为样本容量,为样本平均数,S为样本标准差,为样本平均数的标准差。查学生氏t值表,自由度n—1=9,t0.05=2.262。所以,|t|<t0.05,即引进肥料的肥效与原肥料差异不显着。

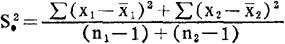
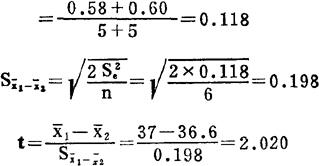
(2)两个样本成组数据平均数测验例题:在其他试验条件相同下,小麦品种x1和x2的千粒重(g)如下,试测验两个品种的千粒重差异显着性(t0.05)?

查学生氏t值表,自由度(n1—1)+(n2—1)=10,t005=2.228,|t|<t0.05,即两个品种的千粒重差异不显着。

(3)两个样本成对数据平均数测验例题:水溶性磷肥(x1)和枸溶性磷肥(x2),在北方不同地块重复试验9组,每公斤养分平均增产(kg)如下,试测验两种肥料的差异水平(t005)?

查学生氏t值表,自由度n—1=8,t0.05=2.306,|t|>t0.05,即两种肥料差异显着。

2.F测验和L.S.D多重比较 样本数≥3的假设测验,多采用方差分析法。常用的有F和L.S.D测验。

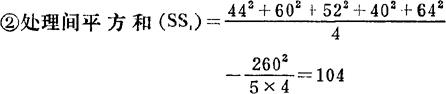
(1)F测验 下表资料是完全随机设计的试验结果,5个处理(k=5),4次重复(n=4),试进行处理间的F测验?

③误差平方和()=①—②=114—104=10

④处理间均方()=平方和/自由度=104/4=26

⑤误差均方()=10/15=0.667

⑥总变异均方(S)=114/19=6

⑦处理间F测验=处理间均方/误差均方=26/0.667

=39

查F值表,自由度V1=4、V2=15,F0.05=4.89,F>F0.05,即处理间差异显着。以上结果可用下面表格表示。

(2)最小显着差数法 简称L.S.D多重比较法。利用前面F测验的例题,继续进行L.S.D多重比较。

查学生氏t值表,自由度=15时,t0.05=2.13,t001=2.947

目前习惯把测验可信度大于5%(0.05)定为显着,大于1%(0.01)定为极显着。为了便于观察,各处理间肥效差异用下表表示。

表中凡是处理间的差异大于L.S.D0.01(1.70),达到差异极显着;如果大于L.S.D0.05(1.23),为差异显着;小于L.S.D0.05,为差异不显着。达到差异显着和极显着,可在数字边上用*和* *表示。

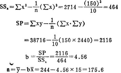
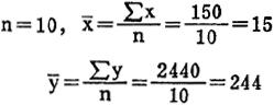
3.直线回归和相关 前面的计算一般用于定性,都只涉及一个变数。回归和相关是研究变数≥2时,它们之间的相互关系,适合于定量分析。用例题说明:假设下面表格中x为亩施肥量(kg),y为相应的亩产量(kg),n=10,试计算其直线回归方程,相关系数r和t测验?

(1)直线回归 它的方程通式为y=a+bx。计算过程如下:

则:y=175.6+4.56x 区间:x在5—28之间(2)相关系数r和t测验

查学生氏t值表,自由度n—2=8时,t0.05=2.306,|t|>t0.05,即相关显着。

随便看

 

离鸟网收录3541549条中英文词条,其功能与新华字典、现代汉语词典、牛津高阶英汉词典等各类中英文词典类似,基本涵盖了全部常用中英文字词句的读音、释义及用法,是语言学习和写作的有利工具。

 

Copyright © 2004-2024 vtrois.com All Rights Reserved
更新时间:2026/4/20 5:32:28