网站首页  词典首页


请输入您要查询的字词:

 

字词 设备维修备件最佳储备量的确定
类别 中英文字词句释义及详细解析
释义

设备维修备件最佳储备量的确定


做好备件储备工作是搞好设备维修的重要物质条件。备件供应及时,可以减少维修停机时间,提高设备利用率;合理储备备件,可避免积压,提高备件利用率。目前,一些大中型企业在备件储备方面普遍存在一些问题:备件储备凭经验决定,缺乏科学依据,往往顾此失彼,带有很大的片面性和盲目性;备件储备和需求之间很不平衡,储备周期过长,备件利用率很低。因此,研究科学的合理的备件储备方法和确定合理的储备量,已成为企业备件储备工作中急待解决的课题。

要实现备件的合理储备,必须研究备件的使用规律。备件的使用情况是否有规律可循呢?一般来讲,在对某种设备的一次修理中,哪些零件需要更换,哪些零件不需要更换,的确是无法预知的。但根据数量统计原理,在对该种设备的多次维修中,各种零件的更换情况就会呈现出一定的规律性,通过对反映客观状态的数据资料的概括整理和统计描述,就可以揭示这种规律性。

为了再现过去零件使用的真实情况,需要尽可能地收集有关数据资料,如设备维修记录、故障统计资料和备件台帐等(一般不得少于一个大修周期的数据)。

现以T36牛头刨床为例,该机床有184个零件,列为备件的有90种,大修周期为4年。统计1987~1990年内12台设备修理的换件情况,得到90种备件使用量的数据见表1。

表1 各种备件使用量的数据

从以上数据中可以看出,在这90种备件中,各种备件更换的频数是大不一样的,最少的为零次,最多的为11次。这反映出机床在使用过程中,各种零件的作用、精度要求、工作状态不同,其失效情况也不同。为了更好地看出这90种备件在一个大修周期内使用的总体情况,可将这些杂乱无章的数据进行归纳整理,作出零件更换频数分布表(表2)。

表2 零件更换频数分布表

根据频数分布表,取零件更换次数为横轴,出现频数为纵轴可作出如下直方图(图1)。

该直方图表明,在一个大修周期内,各种零件的更换次数呈现出一种规律性的分布。从1可以看出,更换次数少的零件种数多,更换次数多的零件种数少。

进一步分析表明,上述零件更换的频数分布很近似于指数分布。因此,我们完全可以运用这一规律,作为确定备件合理储备量的科学依据,从而可望建立一种备件储备量的数学模型,并使这种模型满足以下几点要求:

1)明显地反映出各类备件使用量的概率分布;

2)具有一般意义,而且计算简便;

3)按照这种模型存储备件,所担的风险要小。

基于上述要求,我们按以下方法和步骤建立储备模型。

一、将零件分类,并求其更换概率

确定备件使用量的概率分布,可以使我们认识其整体情况及其主要特征值(平均值和方差)。但就备件的储备而言,却是以各具体备件为对象。这时,如果对每种备件逐一计算,其更换概率就显得既繁琐而又无必要,而若根据概率特征,运用前面直方图的结果,将更换次数落于同一组的备件分为一类,分别计算各类备件的更换概率,就可使问题大为简化。

设A类零件在一次修理中的更换概率为P(A),并由频率值来代替,则有:

式中:X(A)——A类零件更换次数代表值

N——修理设备的台数

例如,第A类零件更换次数代表值X(A)=1(见表3),统计修理设备台数N=12,则A类零件在一次设备修理中的更换概率可近似为:

P(A)=1/12≈0.08

于是可得到各类备件的更换概率,列于表3:

表3 备件分类及其更换概率

二、依据概率特征,建立储备模型

假定备件储备周期为一年。设一年内对该设备的修理计划台数为N,则各类备件的年度储备量可由下式求出:

Yi=a0+PiN

其中:

Yi——第i类备件年度储备量;

Pi——第i类备件更换概率;

N——年度计划修理台数;

a0——储备基数。

给出a0是为了消除零位,或规定一个最低储备数,以减少风险率。一般情况下,可取a0=1。

上式给出的是一个备件储备量的线性模型,表明了各类备件储备量与修理计划台数之间的数量关系。显然,储备量Yi为计划台数N的函数,Pi可理解为各类备件的更换系数,当N值一定时,就可以确定各类备件的储备量。

例如,对A类零件,P(A)=0.08,当N=5时:

Y(A)=1+0.08×5=1.4→2

如N取不同的值,就可以绘制出各类零件的存储图线(图2)。

图2 备件存储图线

三、风险率的讨论

因为这一模型建立在概率的基础上,所以有必要讨论按照这一模型确定储备量的风险率问题。虽然某类零件在一次修理中,被更换的可能性有大小之分,但在一次具体修理中,只能是要么被更换,要么不被更换这两种可能。以更换概率最小的A类零件为例,当N=5时,按公式计算得储备量为2件,如果在5次修理中,有3次要求更换,则储备量就不能满足使用要求了,这就意味着存在一定的风险,那么出现这种情况的可能性即风险率有多大呢?

设某类零件在单次修理中被更换的概率为Pi,则不被更换的概率为qi=1-pi。由二项分布可知,在n次修理中,有k次被更换,n-k次不被更换的概率Pn(k)可由下式求出:

Pn(k)=CPk(1-p)n-k(k=1,2,……n)

例如,对A类零件,P(A)=0.08,当n=5,k=3时有:

P5(3)=C×0.08×0.922=0.004

可见这种可能性是很小的,在一年的数次修理中,可以认为不会发生,也就是说不存在这方面的风险。

对更换概率最大的F类零件来说,

P(F)=0.92,当N=5时,储备量为:

Y(F)=1+0.92×5=5.6→6(件)

在5次修理中,5次都被更换的概率为:

P5(5)=C×0.925×0.08(5-5)=0.66

可见F类零件在5次修理中都被更换概率是较大的,但这时储备量是足够的,说明也不存在风险问题。

以上讨论说明,前面所建立的备件存储模型,突出反映了备件使用量的概率特征,因而是比较科学的;同时,按照这种模型存储备件,又不会担什么风险,因而是合理的。

四、备件投资预测和经济效益分析

企业为了合理使用资金,有必要对备件投资进行科学预测。备件储备量数学模型的建立,为投资预测提供了科学依据。

设某种产品各类备件储备已按前述方法确定,则备件投资预测公式为:

W=∑Wi=∑fi·yi·Qi

式中W——某种设备备件投资金额

Wi——该种设备第i类备件投资金额

fi——第i类备件的种数

yi——第i类备件的储备量

Qi——第i类备件单价平均值

仍以T36型牛头刨床为例,计算上述有关数据,列于表4。

表4T36型牛头刨床备件投资预测表

计算表明,刨床备件预测投资为5345.3元。按此制定投资预算,就可以保证备件储备的要求,这样也就可将备件占用流动资金控制在一定限度之内。为了检验这种预测方法的经济效益,可将此预测值与现行库存台帐上反映出来的备件最高储备量占用流动资金的实际值W进行比较,从而可建立备件储备状态的经济考核指标——备件资金积压率。

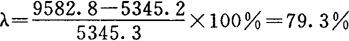
设备件资金积压率为λ,则λ可由下式给出:

式中:W——库存备件最高储备量占用资金

统计T36牛头刨床备件库存情况,计算得到W=9582.80元,于是有:

这说明有将近80%的占用资金处于积压状态。可见,备件积压率可从经济的角度反映出企业备件管理的水平,同时为企业对备件储备管理的调整与改进提供了数量依据。企业要以通过各种渠道把大量积压的占用资金调动起来,反过来就会收到相当的经济效益。

随便看

 

离鸟网收录3541549条中英文词条,其功能与新华字典、现代汉语词典、牛津高阶英汉词典等各类中英文词典类似,基本涵盖了全部常用中英文字词句的读音、释义及用法,是语言学习和写作的有利工具。

 

Copyright © 2004-2024 vtrois.com All Rights Reserved
更新时间:2026/4/21 5:57:04