网站首页  词典首页


请输入您要查询的字词:

 

字词 薄膜透气性试验
类别 中英文字词句释义及详细解析
释义

薄膜透气性试验


详见GB1038-70。测试方法有压力法、容积法、重量法等,但压力法的准确性高,重复性好,所以国内外普遍采用。其原理是使试样两侧保持一定的压力差,测量低压侧的压力变化,计算其透气量和透气系数。透气室的结构见图10-5-2,试样尺寸为Φ75mm的圆片。

10-5-2 透气室的结构示图

1-上板 2,4-橡皮垫圈 3-试样 5-下板 6-隔板 7-接透气室压力计

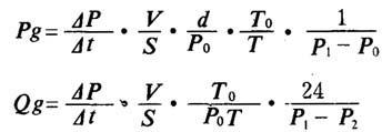
透气系数Pg(cm3·cm/cm2·s·cmHg)和透气量Qg(cm3/m2·atm·24h)按下列式计算:

式中 V——低压侧的体积(cm3)

d——试样的厚度(cm)

S——试样的有效面积(cm2或m2)

T——试验温度(°K)

P1-P2——试样两侧压力差(cmHg或atm)

△P/△t——在稳定透过时,单位时间的低压侧气体压力的变化值(cmHg/s或cmHg/h)

T0,P0——标准状态下的温度(K)和压力(cmHg)

随便看

 

离鸟网收录3541549条中英文词条,其功能与新华字典、现代汉语词典、牛津高阶英汉词典等各类中英文词典类似,基本涵盖了全部常用中英文字词句的读音、释义及用法,是语言学习和写作的有利工具。

 

Copyright © 2004-2024 vtrois.com All Rights Reserved
更新时间:2026/4/18 5:33:38