网站首页  词典首页


请输入您要查询的字词:

 

字词 薄膜的性能和选择
类别 中英文字词句释义及详细解析
释义

薄膜的性能和选择


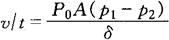
了解薄膜的透气性规律是自动调节封闭容器内气体组成的前提条件。气体通过薄膜的渗透作用是遵守费克-亨利定律的,即某种气体在单位时间内通过薄膜的渗透量(渗透速度)与膜的面积成正比,与厚度成反比,与膜两侧气体的分压差成正比,而且混合气体中各种气体的渗透方向和速度是彼此独立的,互不干扰。气体的渗透速度可用如下的公式表示:

式中 v/t——单位时间内的渗透量,即渗透速度,cm3/s

A——薄膜面积,cm2

δ——为薄膜厚度,cm

p1-p2——膜两侧气体的分压差,cmHg

P0——气体的渗透系数,(cm3·cm)/(cm2·s·cmHg)

P0为一常数,它的大小决定于材料本身的理化特性,与膜的面积、厚度和分压差无关,但一般随温度升高而增大。在一定的温度下,各种聚合膜对某一气体的渗透系数是恒定的,它表示某种材料对某种气体的渗透能力的大小。果蔬在呼吸过程所需要的O2可从薄膜缓慢透入,而释放出的CO2则可自动地从薄膜扩散出去,这就为果蔬的密封贮藏提供了有利的条件。从理论上讲,经过一定的时间,在装有果蔬的塑料薄膜帐(袋)内就能自动地调节和维持一定的气体组成。

1.塑料薄膜的性能和选择

果蔬自发气调贮藏所用的塑料薄膜要求具备以下性能:无毒,符合有关食品卫生要求;抗撕裂性能好;易热封,耐老化;价格便宜,透明度高,适宜的透气和透水性能。目前生产中所用的塑料薄膜主要是聚乙烯和聚氯乙烯等,其特点见表3-5。

表3-5 常用塑料薄膜的透气率和透水率

注:(1)薄膜厚度0.03mm;(2)透气率测试条件24℃,干态。

近年来,我国果蔬生产中聚氯乙烯膜的应用逐渐增多,因为聚氯乙烯膜具有如下优点:①聚氯乙烯膜表面极性分子多,透湿性能好,同聚乙烯膜相比,同样条件下不易结露;②聚氯乙烯膜能透析排除有害代谢产物如醇、醛、乙烯等;③气调稳定,保绿效果好;④韧性大,低温下柔软,不易破损;⑤透明度高,可任意调色,使之接近产品自然色,易于被市场接受。经多年实践业已证明,目前聚氯乙烯膜是自发气调贮藏的理想材料。但聚氯乙烯膜价格较高,主要适用于长期贮藏或具有较高商品价值的产品。

一般用做小型包装袋的塑料薄膜厚度在0.02~0.06mm,用做大帐的,薄膜厚度在0.06~0.15mm。

值得注意的是近几年来开发应用的许多功能性保鲜膜。这些保鲜膜除改善透气、透湿性外,还有涂布脂肪酸酯或掺入表面活性剂的具有防雾、防结露作用的保鲜膜;提高透明性的薄膜以及混入泡沸石为母体的无机抗菌剂的抗菌性薄膜,混入陶瓷泡沸石和活性炭等以及吸收乙烯等对保鲜有害气体的薄膜;混入远红外线放射体的保鲜膜等。

2.硅橡胶膜的性能和选择

1963年法国国家科研中心植物生理研究实验室的Marcellin等采用硅橡胶膜镶嵌在塑料薄膜袋或帐上,构成硅橡胶窗,比单纯用塑料薄膜更能准确的维持袋或帐内O2和CO2浓度。硅橡胶为二甲基聚硅氧烷,由取代基的硅氧烷单体聚合而成。硅橡胶膜则是在衬布上涂布硅橡胶的织物。由于硅氧键相连形成柔软易弯曲的长链,长链之间以弱的电性松散地交联在一起,这种结构使硅橡胶具有以下特点:①硅橡胶膜的透气率比塑料膜的透气率大200~300倍;②硅橡胶膜具有较大的二氧化碳和氧的透气比,对CO2的透过率是O2的5~6倍,是N2的12倍。

用做果蔬贮藏保鲜的硅橡胶袋(帐)制作时应掌握好以下两个方面技术关键:

(1)硅窗面积的计算:用硅橡胶膜做气体交换窗,其面积决定于贮藏产品的种类、品种、成熟度及单位容积的贮藏量、贮藏温度、要求的气体组成、硅窗膜厚度等许多因素。法国国家科学研究中心的Marcellin推荐了以下计算公式:

式中 S——硅窗净面积,cm2

m——贮藏产品质量,kg

rCO2——贮藏产品的呼吸强度,L/(kg·d)

PCO2——硅膜渗透CO2的速度,L/(cm2·d·KPa)

A——各品种特有的系数

Y——袋(帐)内要求的CO2分压(%)(例如3%,取值0.03)

由于A值的计算很复杂,中国科学院兰州生物化学研究所将上式简化为:

式中 Y——袋(帐)内CO2分压,%

X——袋(帐)内O2分压,%

应用以上3个公式计算的S/m值是相近的。经国内试验,用简化计算公式(2)或(3)计算的硅窗面积操作,贮藏效果比较理想。

(2)目前,用于果蔬贮藏的硅橡胶膜有织物涂层(布基)膜和压延膜两种。织物涂层膜透气率稍小(表),但强度高,不易撕裂,且易与塑料薄膜热合。压延膜透气率虽大,但强度低,易撕裂,且不能与塑料薄膜热合,粘接比较困难。因此,从整体性能考虑,应优先选用性能优良的织物涂层硅膜制作硅窗。

在薄膜袋(帐)体上镶嵌硅窗时,要求膜厚度为0.05~0.1mm,一般采用直接热合法进行黏合。热合条件,主要包括温度、压力和时间等3个方面。热合温度与薄膜的厚度有关。薄膜厚,热合温度高;薄膜薄,热合温度低。多数情况下,热合温度降低,影响封口处薄膜的强度,甚至会造成破裂。据试验,在热合温度为110℃,热合压力为78.45kPa的情况下,厚度为0.06mm热合时间约1.3s,都可以达到要求的封口强度。

硅窗袋(帐)的具体制作工艺流程是:薄膜→定长→裁剪→热封袋底→上硅窗→检验→包装→入库。

随便看

 

离鸟网收录3541549条中英文词条,其功能与新华字典、现代汉语词典、牛津高阶英汉词典等各类中英文词典类似,基本涵盖了全部常用中英文字词句的读音、释义及用法,是语言学习和写作的有利工具。

 

Copyright © 2004-2024 vtrois.com All Rights Reserved
更新时间:2026/4/19 5:14:43