网站首页  词典首页


请输入您要查询的字词:

 

字词 蔗糖脂肪酸酯
类别 中英文字词句释义及详细解析
释义

蔗糖脂肪酸酯


别名 蔗糖酯

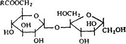
结构式

性能 白色到黄褐色的粉末或无色到微黄色的粘稠液体。无气味或者稍有特殊的气味。易溶于乙醇、丙酮。单酯可溶于热水,但二酯和三酯难溶于水。是以蔗糖部分为亲水基、长链脂肪酸部分为亲油基的非离子型表面活性剂。单酯含量愈多、愈有亲水性,而二酯和三酯含量愈多则愈有较好的亲油性。在体内可消化成蔗糖和脂肪酸而被吸收。对眼和皮肤的刺激小,没有毒性,而且易被微生物分解。由于本品具有这些特点,在食品中的使用没有限制。

毒性:急性毒性:对大鼠、小鼠口服蔗糖十六烷酸酯和蔗糖硬脂酸酯各20g/kg,未见任何异常。据报道,大鼠口服蔗糖十六烷酸酯LD50为30g/kg。

几种蔗糖酯物化性质

用途 用于食品、医药、化妆品、洗涤剂、纤维柔软加工剂等方面。

医药方面:可用作维生素A、D的增溶剂,维生素K的悬浮剂,BHT、BHA、POBB等的分散剂,片剂的保护膜材料、粘合剂、赋形剂等。

化妆品方面:除作乳化剂外,还用作润肤剂、调湿剂。也可用于各种美容霜、眼部化妆品、婴儿护肤品、化妆水、洗发剂、牙膏、整发剂、口红等。

洗涤剂方面:食品用洗涤剂。

质量规格(参考;JSCⅠ-Ⅱ)

包装贮运 食品用塑料袋装,袋口封闭严实,外用瓦楞纸箱包装。运输时轻卸轻放,防日晒雨淋,不得与有毒和易污染品混装和堆放,仓库内空气干燥、流通。

国内生产厂 浙江金华第二制药厂、四川省日化研究所。

随便看

 

离鸟网收录3541549条中英文词条,其功能与新华字典、现代汉语词典、牛津高阶英汉词典等各类中英文词典类似,基本涵盖了全部常用中英文字词句的读音、释义及用法,是语言学习和写作的有利工具。

 

Copyright © 2004-2024 vtrois.com All Rights Reserved
更新时间:2026/4/19 14:23:06