网站首页  词典首页


请输入您要查询的字词:

 

字词 蔗糖硬脂酸酯
类别 中英文字词句释义及详细解析
释义

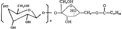
蔗糖硬脂酸酯


结构式

性能 无味,无刺激性的食品添加剂。

质量规格(天津轻化所)

HLB值3 软化点,℃63~68

用途 广泛用于食品、农畜产品加工等方面,是人造奶油、黄油、巧克力、口香糖、冰制品、罐头制品的良好添加剂。

国内生产厂 天津轻工业化学所。

国外生产公司 德国Hoechst公司等。

国外质量规格参考〔德国Hoechst公司Hoslacerin LSE(月桂酸蔗糖酯)〕

外观 微黄色透明液 活性含量,%40

游离酸含量,%<3 粘度,mPa·s约500

pH值6.5~7.5 HLB值约15

随便看

 

离鸟网收录3541549条中英文词条,其功能与新华字典、现代汉语词典、牛津高阶英汉词典等各类中英文词典类似,基本涵盖了全部常用中英文字词句的读音、释义及用法,是语言学习和写作的有利工具。

 

Copyright © 2004-2024 vtrois.com All Rights Reserved
更新时间:2026/4/20 9:16:12