蒸发过程的物料衡算,主要是计算使用一定量的混合卤所需蒸发的水分量、盐类析出量和得到的澄清液量。
计算的依据是物料的收支平衡。即:
所用混合卤总量=澄清液量+NaCl析出量+MgSO4·H2O析出量+蒸发水量
举例:某混合卤组成为:
°Bé KCl NaCl MgCl2 MgSO4 H2O
30.9 20.07 69.93 216.27 72.54 892
设保温温度为100℃。
由混合卤组成可算出
=
=10.8,所得澄清液中
比值也应是10.8。由图6-2-9可查出澄清液组成为:
KCl NaCl MgCl2 MgSO4 H2O
3.16 0.96 33.6 1.48 60.8(g/l00g溶液)
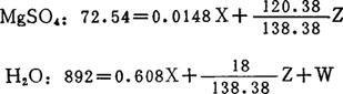
设1L混合卤经过蒸发后,得到澄清液X(g),析出NaClY(g)、析出MgSO4·H2OZ(g),蒸发水量W(g)。则:

KCl:20.07=0.0316X
NaCl:69.93=0.0096X+Y

联立求解,解得:X=635.1g
Y=63.8g
Z=72.5g
W=496g