网站首页  词典首页


请输入您要查询的字词:

 

字词 蒸发结晶
类别 中英文字词句释义及详细解析
释义

蒸发结晶


卤水中氯化钠结晶析出,主要依靠加热蒸发除去水分。为提高热能利用率,常采用多效蒸发制盐。

(一)单个效蒸发及温度参数

1.单个效的蒸发过程 以标准型强制循环蒸发罐为例(见图3-4-47),物料在泵叶轮的推动下,沿a-b-c-d-a路线循环,在加热管内c时受热升温,在液面d处蒸发降温,同时料液成过饱和状态析盐,通过中央循环管下降,在锥底b处盐晶因重力沉降进入盐足e。盐浆由盐足排出。在d处蒸发的蒸汽夹带液沫在s处分离液沫,通过R去下一效,作为下一效的加热热源,或被冷却水冷凝。

图3-4-47 卤水蒸发制盐的标准型蒸发罐示意图

2.单效蒸发的温度参数

(1)总温度差

⊿Tn=t1-t2

式中 ⊿T3——某效的总温差(℃或K)

t1、t2——加热蒸汽与二次蒸汽温度(℃或K)

(2)温度损失

①料液沸点升损失

式中 ⊿t——料液的沸点升高(℃)

⊿t常沸——料液在常压下的沸点升高(℃)

T——某压力下水的沸点(℃)

Lv——某压力下水的汽化潜热(J/kg)

⊿t常沸可由手册中查取,或实验测定。饱和NaC1溶液与25%浓度的溶液的⊿t常沸分别为108.8,107.4℃。

盐卤的沸点升还可由图3-4-48中查取。

图3-4-48 盐卤的沸点升与压力关系图

使用方法:由P标尺引垂线交参考线R于Z点,过Z点作标尺T2平行线交溶液浓度线,从交点引垂线交T2标尺即为溶液沸点;过Z点的平行T2标尺的线向左延伸交T1标尺即为水的沸点,T2标尺与T1标尺的读数差即为沸点升高温度。

②不平衡温度损失:蒸发循环过程(参见图3-4-47)物料被加热到t3′,在液面蒸发达到理论热力学平衡时的液面温度t1′=t2+⊿t,但物料因受料液流动和静压等动力因素影响,蒸发后料液循环到下花板位置时液温度t2′大于t1′,从而造成的温差⊿t=t2′-t1′,称为不平衡温差。⊿t与操作条件、罐型和流动状况有关,约为1~3℃。

③过热温差损失:盐卤通过加热管温度由t2′升到t3′。⊿t=t3′-t2′称为过热温度,通常为2~3℃。受热物料平均温度应取t2′与t3′平均值。由此损失的有效传热温度称为过热温度损失,其值为⊿t/2。

④单效蒸发的有效传热温度⊿tn

(二)单效蒸发的物料计算

参见图3-4-49。

1.计算条件

(1)卤水中NaCl的初始浓度Co,g/100g;

(2)卤水中NaCl的饱和浓度Cn,g/100g;

(3)NaCl的析出率或收率r,%;

(4)排出盐浆的固液比

(5)若有盐浆转入本效并与本效盐浆-起排出时,转入、转出的盐浆量和母液不发生量的变化,不发生浓缩。

2.计算式(以原卤为基数)

(1)浓缩阶段的蒸发水量:Wn′= (3-4-23)

(2)析盐阶段的蒸发水量:Wn″=r·(1-Cm) (3-4-24)

(3)预定析盐率时的蒸发水量:

(4)析盐量:Gn′=r·Co (3-4-26)

(5)单位析盐的蒸发量:

(6)应排盐浆量:

(7)应排母液量:M=1-Wn-r·Co (3-4-29)

或M=(1-r)

(8)为保持蒸发平衡应进罐物料量:

式3-4-30也可化为下式表示

式(3-4-30)的物理意义是:进罐物料量为蒸发量、盐浆量和应排母液量三项之和。在蒸发量恒定情况下,进罐物料量则与盐回收率和盐浆固液比有关。

根据式(3-4-31)计算的蒸发量与进罐物料量的关系见表3-4-41、表3-4-42。

表3-4-41 排盐固液比不同时蒸发量与进料量关系

表3-4-42 不同的析盐率时进卤量与蒸发量之比Sn/Wn

可见,控制好排盐固液比是很重要的,提高排盐固液比可以减少进罐料量,降低热损失。

(三)单效蒸发热平衡计算

1.热量平衡示意图见图3-4-49。

图3-4-49 单效蒸发热平衡示意图

2.单效蒸发热平衡方程表达:

外界传入本效热量+本效蒸发结晶的热效应=进入本效的物料升温显热+蒸发水所需潜热+热量损失 (3-4-32)

即:Q+Q=Q+Q+Q (3-4-33)

3.外界传给本效热量包括下列三项。

(1)生蒸汽或上一效二次蒸汽在本效冷凝放热:q1=Wn-1·in-1 kJ/h (3-4-34)

(2)前一效冷凝水在本效闪发热量:

q2=(i'n-1-i'n) kJ/h (3-4-35)

(3)由上效转入本效料液放出显热:

q3=-1CJ(Tn-1-Tn) kJ/h (3-4-36)

上面诸式中

Wn-1——进入本效的加热蒸汽量,(kg/h)

in-1——蒸汽的冷凝潜热(kJ/kg)

W′n-1——上一效的冷凝水量(kg/h)

i′n-1i′n——上一效与本效的冷凝水热焓,(kJ/kg)

——转入本效的盐浆量(kg/h)

CJ——盐浆的热容,3.2kJ/(kg·℃)

Tn-1,Tn——上一效与本效的液温(℃)

4.本效蒸发结晶的热效应:

q4=Wn·θNac1 kJ/h (3-4-37)

式中 θNac1——氯化钠的结晶热,83.8kJ/kg

Wn——本效蒸发水量(kg/h)

——单位析盐的蒸发水量(kg/kg)

5.进入本效的料液升温显热:

q5=Sn/Wn×Wn·CL(Tn-To) kJ/h (3-4-38)

式中 CL——料液热容,3.35kJ/(kg·℃)

Tn——本效料液温度(℃)

To——进料液温(℃)

Sn/Wn——由物料计算中根据卤水的情况算出(kg/kg)

6.本效蒸发水所需热量:

q6=Wn·in kJ/h (3-4-39)

式中 in——本效条件下水的蒸发潜热(kJ/kg)

7.热平衡方程式

η×(q1+q2+q3+q4)=q5+q6 (3-4-40)

式中 η=1-热损失率

式3-4-40可化为

η〔Wn-1×in-1+W′n-1×(i′n-1-i′n)+CJ(Tn-1-Tn)+W11n·θNac1

=Sn/Wn×Wn×CL×(Tn-To)+Wn·in (3-4-41)

式(3-4-41)中,η、in-1、i′n-1、i′n,CJ、Tn-1、Tn、θNac1、CL、Tn、T0、in等项均为蒸发的规定性条件或是在规定性条件下物料热力学数据,可视为已知条件;,Sn/Wn是根据卤水浓度、NaCl回收率等制盐要求经过物料计算获得。对于第一效条件,没有冷凝水的闪发热和转入盐浆这二项,结果式中只有Wn-1与Wn二个未知量,这样只要设定其中一个,即可求出另一个量。热平衡计算中可以根据产盐量要求的蒸发量,求所需热量,即由Wn求Wn-1;反之也可由供热量求取蒸发量,即由Wn-1求Wn。后一种计算方法是设定单位供热能力,计算可以达到的蒸发量。这种方法在多效蒸发中可以简化计算。

(四)多效蒸发系统流程及工艺计算

1.多效蒸发流程 制盐生产采用多效蒸发流程。因所用原料不同,流程有所差别。目前国内多采用四效蒸发、冷凝水闪发、卤水进行预热的流程,图3-4-50所示为多效蒸发流程示意。

图3-4-50 多效蒸发流程示意图

2.多效蒸发系统的温度分配(以四效为例)

(1)四效蒸发制盐蒸发系统运行参数实例表3-4-43到表3-4-44是四川自贡地区4个盐厂制盐蒸发设备运行的压力和温度实例。图3-4-51至图3-4-54是根据该4厂蒸发系统运行参数绘制而成的。

表3-4-43 四川自贡某厂年产10万吨制盐蒸发系统运行参数

表3-4-44 自贡某厂10万吨/年真空制盐蒸发系统运行参数

图3-4-51 蒸发系统压力分布曲线(根据表3-4-43数据绘制)

图3-4-52 蒸发系统压力分布曲线(根据表3-4-44数据绘制)

图3-4-53 蒸发系统压力分布曲线(根据表3-4-45数据绘制)

图3-4-54 蒸发系统压力分布曲线(根据表3-4-46数据绘制)

表中①真空度按当地大气压735mmHg换算。

②表中所列均为生产原始记录数据。

表3-4-45 自贡某厂5万吨/年真空制盐蒸发系统运行参数

表3-4-46 自贡某厂5万吨/年真空制盐蒸发系统运行参数

由图3-4-51~3-4-54中诸曲线可以归纳得出下列加热室压力与蒸发室压力之间的经验公式:

Y=1.8×X+0.107 (3-4-421)

式中 Y——加热室压力(MPa,表压)

X——蒸发室压力(MPa,表压)

式(3-4-42)可用于四效蒸发系统计算中温度分配的最初设定,也可用于对实际运行的系统参数的考查。

(2)多效蒸发系统温度参数的计算 多效蒸发系统进行温度参数是自然平衡的,也可通过热平衡计算确定,但热平衡计算中又需以各效温度参数作为已知条件。故在计算蒸发系统的热平衡时,先设定温度参数,经多次试算平衡后确定。各效温度参数可通过下述方法计算设定:

①确定首效加热蒸汽温度to,例to=143℃。确定循环冷却水的冷水温度t冷水,例t冷水=28℃。总温差⊿t=to-t冷水=143-28=115℃

②确定冷却水在冷凝末效二次蒸汽时的温升和冷凝的动力温差。⊿t=t热水-t冷水和⊿t冷凝=t-t热水。⊿t冷凝一般为4℃,而⊿t则与冷凝蒸汽与冷却水的用量比有关。水汽比为100,80,60时,相应的⊿t为6,8,10℃。设定⊿t=8℃,⊿t冷凝=5℃。

③确定各效温度损失及总温度损失和:

各效沸点升(⊿t)分别为10,10,9,8℃。

各效不平衡温差(⊿t)均为3℃。

各效过热温度(⊿t)均为2℃。

则总温度损失∑⊿t=∑⊿t+∑⊿t+∑⊿t/2=53℃

④确定上一效蒸发室至下一效加热室(对末效来说则为冷凝器)因管道的阻力引起的蒸汽压力下降,相应的温度损失⊿t管道。管道阻力引起的压力降一般2~3kPa,对应的各效温度损失⊿t管道分别为0.5、1.0、1.5、3.0℃∑⊿t管道=6℃

⑤计算总有效温差∑⊿t有效

∑⊿t有效=⊿t-⊿t-⊿t冷凝-∑⊿t-∑⊿t-∑⊿t/2-Σ⊿t管道

按以上设定条件 ∑⊿t有效=115-8-5-37-12-4-6=43℃

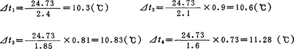
⑥计算有效温差在各效的分配(按加热设备等面积原则计算)。假定各效热量按10%递降,各效传热系数K依次为2.4、2.1、1.85、1.6kW/(m3·℃)

根据传热公式 Q=K·F·⊿t有效,则各效传热式为

一效 Q=2.4×F×⊿t1 二效 0.9Q=2.1×F×⊿t2

三效 0.81Q=1.85×F×⊿t3 四效 0.73Q=1.6×F×⊿t4

经过合并计算 ⊿t1+⊿t2+⊿t3+⊿t4=1.739Q/F

根据上面设定 Σ⊿t有效=43℃ 即

⊿t1+⊿t2+⊿t3+⊿t4=∑⊿t有效=43℃

于是得 Q=×F=24.73F。将本式与各效传热式相比可得:

计算所得的各效有效温差只能作为多效蒸发系统热平衡计算的试算值。

⑦有效温度在各效分配也可先按各效平均的方法确定以作为热平衡计算的试算值。以上例而言 ∑⊿t有效=43℃,则各效有效温差10.75℃。

3.多效蒸发系统的物料平衡与热平衡计算 多效蒸发系统物料平衡与热平衡计算往往不能截然分开,因为热量的传递往往与物料量有关,而物料量则又受热量传递制约,而一个多效蒸发系统各效又是处于自身动态平衡之中。所以多效蒸发计算时物料计算与热量平衡计算则常常一并进行。

多效蒸发计算可以按等温差法、等面积法等不同原则计算。为方便蒸发设备的制造,通常均按等面积计算,即各效蒸发设备换热器传热面积相等原则。

多效蒸发计算时一般的步骤是:(1)根据设定的计算条件列表,并根据设定条件查取有关物料的热力学参数;(2)根据设定数据进行各效热平衡计算;(3)根据计算结果各效传热面积不等时则需重新调整设定有效温差,再行计算,直至各效的计算传热面积差不超过5%时则可作为计算结果。

多效蒸发的物料平衡、热平衡计算实例如后:

(1)根据卤水情况计算基本的物料数据

设卤水浓度Co=25%,Cn=25%,转排盐浆固液比B=40%,析盐率100%。

则据式3-4-27 =(1+0.25-1)=4-1=3.0(kg/kg)

据式3-4-31Sn=Wn++(1-r)

(2)列出计算条件表(见表3-4-47),为明显起见,把计算的主要结果也列入表内。

表3-4-47 多效蒸发计算条件及主要结果表(供汽1.0kg/s时的计算结果)

(3)分效进行热平衡计算,热平衡计算按每秒供加热蒸汽1kg计算。从第一效开始计算。

Ⅰ效:

吸收热量(kJ/s) 支出热量(kJ/s)

q1=1.0×2135=2135 q5=w1×1.83×(133.2-60)×3.35=448.8w1

q2=0 q6=w1×2165

q3=0

列热平衡式

(q1+q2+q3+q4)η=q5+q6

0.97×(2135+27.93w1)=w1×(2165+448.8)

蒸发量 w1=0.8006(kg/s)

进卤量 S1=1.83×0.8006=1.465(kg/s)

产盐量 G1′=0.8006/3=0.267(kg/s)

应转排盐浆量 G″=0.267/0.4=0.667(kg/s)

Ⅱ效:

吸收热量(kJ/s) 支出热量(kJ/s)

q1=0.8006×2206=1766.2 q5=w2×1.83×(108.6-60)×3.35=297.9w2

q2=(143-118.5)×1.0×4.1868=102.6 q6=w2×2234=2234w2

q4=27.93×w2

列平衡式

0.97×(1766.2+102.6+52.5+27.93w2)=w2×(297.9+2234)

蒸发量 w2=0.744(kg/s),二个效合计 1.5446 kg/s

进卤量 S2=1.362(kg/s) 2.827 kg/s

产盐量 G1′=0.248(kg/s) 0.515 kg/s

应转盐浆量 =0.620(kg/s) 1.287 kg/s

Ⅲ效:

吸收热量(kJ/s) 支出热量(kJ/s)

q1=0.744×2274=1691.8 q5=w3×1.83×(82.9-60)×3.35=140.4w3

q2=0.8006×(118.5-93.6)×4.1868=83.46 q6=w3×2301=2301w3

q4=w3×27.93

列平衡式:

0.98×(1691.8+83.46+105.8+27.93w3)=w3×(2301+140.4)

蒸发量 w3=0.7636(kg/s) 三个效合计 2.309 kg/s

进卤量 S3=1.397(kg/s) 4.224 kg/s

产盐量 G3′=0.2545(kg/s) 0.7695 kg/s

应转盐浆量 =0.636(kg/s) 1.923 kg/s

Ⅳ效:

吸收热量 (kJ/s) 支出热量(kJ/s)

q1=0.7636×2338=1785.3 q5=w4×1.83×(53.8-50)×3.35=35.55w4

q2=1.5446×(93.6-68.4)×4.1868=163.0 =4.224×(60-50)×3.35=141.5

q3=1.923×(82.9-55.8)×3.2=166.8 q6=2370·w4

q4=27.93w4 *为用于预热Ⅰ、Ⅱ、Ⅲ效的进罐物料耗用热量。

列平衡式:

0.99×(1785.3+163.0+166.8+27.93w4=w4×(2370+35.55)+141.5

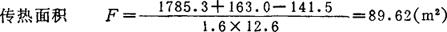
蒸发量 w4=0.8211(kg/s) 四个效合计 3.13(kg/s)

进卤量 S4=1.502(kg/s) 5.726(kg/s)

产盐量 G′4=0.2737(kg/s) 1.043(kg/s)

应排盐浆量 =0.6843(kg/s) 2.607(kg/s)

根据上述热平衡计算结果,结合生产规模,可进一步计算所需设备的工艺尺寸、热能需求、冷却水量和定型设备的选用等。

考虑到工业生产中不可预见的因素,蒸发设备传热面积、蒸发所需蒸汽、冷却水量等常需增大5~10%。

(五)制盐过程的结晶与盐的粒度

1.制盐的结晶过程 随着水分的蒸发,卤水中的NaCl浓度从不饱和达到饱和,进而达到过饱和状态。NaCl的过饱和溶液一般可区分成两个状态:介稳定状态和不稳定状态,见图3-4-55。

图3-4-55 氯化钠溶解度线

在不稳定区,NaCl浓度达到或超过极限过饱和线,NaCl结晶立即发生,自发均相成核作用显着,微晶大量产生;在介稳区,NaCl浓度介于极限过饱和度及饱和浓度之间,需有NaCl晶种存在或需经过一定时间后,溶液中NaCl才会析出,自发均相成核作用不明显。

NaCl结晶经历晶核生成、晶体成长以及在一定条件下微小的NaCl晶体通过再结晶长成粗粒晶体。

2.蒸发罐内卤水的过饱和度,常用3个参数来表示:

(1)绝对过饱和度 ⊿C=C-Cn

(2)相对过饱和度 δ=⊿C/Cn

(3)过饱和系数 S=C/Cn

以上诸式中,C——过饱和状态时NaCl浓度;Cn-NaCl饱和浓度。

蒸发罐内NaCl的过饱和度可以用以下两种方法计算:

例如:过热度为2℃物料,其过饱和系数(液温133.2℃时)

3.蒸发制盐时盐晶粒度 影响制盐结晶粒度的因素主要有以下几点:

(1)物料的过饱和度 据资料介绍,如欲在蒸发罐内制取粒径粗大的NaCl结晶体,⊿C值宜保持1~2g/L。

(2)运行温度 温度高有利于粗粒晶体的生成,见图3-4-56。

图3-4-56 结晶温度不同时氯化钠过饱和度与结晶速度关系

(3)结晶体个数 循环物料中的晶体个数太多,不利于晶体的生长。

(4)循环速度 过大的循环速度会导致已生成的盐晶破碎,二次晶核大量产生,不利粒径长大。

(5)物料的浓度 杂质浓度高,粘度大,不利粒径长大。

(6)晶体在罐内停留时间 粗粒径盐晶的生成必须有足够时间。据资料介绍,平均粒径0.4mm以上的盐晶,停留时间不应少于1h。蒸发制盐中可通过合理设计蒸发罐和控制运行中物料的固液比来达到必须的停留时间。

式中 h——盐晶在罐内停留时间(h)

M——参加罐内循环的物料量(kg)

Bn——循环物料中的固体盐晶含量(%)

G′n——析盐量(kg/h)

随便看

 

离鸟网收录3541549条中英文词条,其功能与新华字典、现代汉语词典、牛津高阶英汉词典等各类中英文词典类似,基本涵盖了全部常用中英文字词句的读音、释义及用法,是语言学习和写作的有利工具。

 

Copyright © 2004-2024 vtrois.com All Rights Reserved
更新时间:2026/4/21 6:04:58