网站首页  词典首页


请输入您要查询的字词:

 

字词 落葵红
类别 中英文字词句释义及详细解析
释义

落葵红


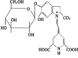
结构式

分子式:C24H26O13N2

相对分子质量:550(甜菜苷)

落葵红的鉴别

1.试剂和溶液

1.1 乙醇 分析纯。

1.2 丙酮 分析纯。

1.3 乙酸乙酯 分析纯。

1.4 三氯甲烷 分析纯。

1.5 乙醚 分析纯。

1.6 pH5.4的乙酸-乙酸钠缓冲液。

1.7 0.4mol/LHCl。

1.8 展开剂。

1.8.1 Me2CO∶CHCl3∶MeOH∶0.4mol/LHCl=5∶5∶14∶1.5(体积比);

1.8.2 CHCl3∶MeOH∶0.4mol/LHCl=11∶2∶2(体积比)。

1.9 吸附剂 硅胶G-0.3%CMC板。

2.操作步骤

2.1 本品易溶于水及稀乙醇,不溶于无水乙醇、丙酮、乙酸乙酯、氯仿、乙醚等有机溶剂。本品溶液在酸性或中性时为紫红色澄清液,但当pH>9时,则逐渐转变成黄色。

2.2 本品溶于pH5.4的乙酸-乙酸钠缓冲液的最大吸收波长为538nm,与对照品甜菜红相同。

2.3 以硅胶G-0.3%CMC板为固定相(105~110℃,活化3h),以Me2CO∶CHCl3:MeOH∶0.4mol/L HCl=5∶5∶14∶1.4(体积比)或CHCl3∶MeOH∶0.4mol/LHCl=11∶12∶2(体积比)为移动相,上行法层析展开,与对照(已知品)甜菜红有相同的Rf紫色斑点,其Rf分别为0.42和0.31。

随便看

 

离鸟网收录3541549条中英文词条,其功能与新华字典、现代汉语词典、牛津高阶英汉词典等各类中英文词典类似,基本涵盖了全部常用中英文字词句的读音、释义及用法,是语言学习和写作的有利工具。

 

Copyright © 2004-2024 vtrois.com All Rights Reserved
更新时间:2026/4/18 19:46:53