网站首页  词典首页


请输入您要查询的字词:

 

字词 萝卜红
类别 中英文字词句释义及详细解析
释义

萝卜红


编码 GB 08.117

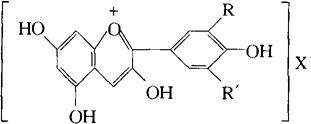
化学结构 主要着色成分是含天竺葵素的花色苷。

X:酸部分

天竺葵素:C15H11O5X

性状 深红色无定形粉末,易吸潮,吸潮后结块,一般不影响使用。易氧化。日光照射可促进其降解而褪色。易溶于水及乙醇水溶液,不溶于非极性溶剂。本品水溶液随介质pH升高,其最大吸收峰发生后移,吸光度明显下降。溶液色调随介质pH由2.0至8.0而依次呈现:橙红-粉红-鲜红-紫罗蓝。本品水溶液对热不稳定,随温度升高,降解加速,从而退色。Cu2+可加速其降解,并使之变为蓝色;Fe3+可使本品溶液变为锈黄色;Mg2+、Ca2+对本品影响不大;Al3+、Sn2+及抗坏血酸对它有保护作用。

制法 以红心萝卜为原料,经清洗,切丝,压榨得红色汁液。渣经酸性水溶液或乙醇水溶液抽提,得滤液。合并榨出的汁液及抽提的滤液,进行精制、干燥而得。

质量标准

毒理学依据

1.LD50 大鼠、小鼠口服大于15g/kg(bw)。

2.致突变试验 Ames试验、骨髓微核试验及显性致死试验,均无致突变作用。

3.蓄积性毒性试验 蓄积系数K大于5(雌性和雄性大、小鼠)属弱蓄积性。

使用 着色剂。

1.使用注意事项

(1)本品对介质pH、金属离子(特别是Cu2+、Fe3+)、氧化剂、日光照射均不太稳定,使用时应特别注意。

(2)抗坏血酸对本品有保护作用,在使用本品时可应用一些抗坏血酸。

(3)本品适用于酸性、低温加工的食品着色,尤其适用于冷饮、冷食等着色。若用于热加工的食品着色,应掌握好着色时机。

2.使用范围及使用量

(1)我国《食品添加剂使用卫生标准》(GB 2760-1996)规定:可按生产需要适量用于果汁(味)饮料类、糖果、配制酒、果酱、调味酱、蜜饯、糕点上彩装、糕点、冰棍、雪糕、果冻。

(2)实际使用参考:具体使用,饮料为0.002%~0.07%;糖果为0.01%~0.06%;饼干、糕点为0.04%~0.08%。

随便看

 

离鸟网收录3541549条中英文词条,其功能与新华字典、现代汉语词典、牛津高阶英汉词典等各类中英文词典类似,基本涵盖了全部常用中英文字词句的读音、释义及用法,是语言学习和写作的有利工具。

 

Copyright © 2004-2024 vtrois.com All Rights Reserved
更新时间:2026/4/18 19:30:57