网站首页  词典首页


请输入您要查询的字词:

 

字词 荔枝蒂蛀虫测报调查方法
类别 中英文字词句释义及详细解析
释义

荔枝蒂蛀虫测报调查方法


荔枝蒂蛀虫(Conopomorpha sinensis Bradley)是一种钻蛀性害虫。主要发生在广东、广西、福建、海南等南方各地。幼虫蛀入荔枝、龙眼的嫩梢、花穗、果核、果蒂取食。该虫繁殖力强,在广东每年可发生10~12代。在5~6月份约20天可完成1个世代。在广东的一些荔枝园,成熟期果的为害率高达60%~80%,产量损失30%~40%,且大大降低果品质量和商品价值,影响产品的内销和出口,造成巨大经济损失。

1 调查内容与方法

1.1 田间越冬调查

1.1.1 调查时间 每年1、2月调查1次。

1.1.2 调查方法 选择有代表性的早、中、迟熟品种果园,每类型果园调查按对角线5点取样,每点各调查1株,共5株。每株按东、南、西、北各调查10梢。早熟品种调查花穗,中迟熟品种调查晚冬梢或早春梢,剥检受害花穗(梢),记录受害花穗(梢)的总虫数,换算百花穗(梢)活虫数、死虫数。记入表7-95,作为当年虫源基数。

表7-95 荔枝蒂蛀虫越冬情况调查表

1.2 田间发生调查

1.2.1 发生程度调查

1.2.1.1 调查时间 从谢花至收获期,在每代幼虫盛发期调查1~2次。

1.2.1.2 调查方法 选择有代表性的早、中、迟熟品种果园,按对角线5点取样,每点定点调查1株。每株按东、南、西、北取样调查树上果20个,每品种查果400个。记录蛀果数、计算蛀果率,填入表7-96。

表7-96 荔枝蒂蛀虫发生程度(树上果)调查表

1.2.2 发育进度调查

1.2.2.1 调查时间 调查时间为幼虫盛末期至蛹高峰期,每代调查1~2次。

1.2.2.2 调查方法 选择当地有代表性的早、中、迟熟品种果园各1个,每个果园采用对角线5点取样,每点定点调查1株,每株按东、南、西、北4个方位,每个方位查5~10个枝条和剥检果50个。调查幼虫数、预蛹数、各级蛹数及蛹壳数,调查总虫数应达到50头以上,如不能达到要求,则每点调查2株或以上,计算羽化率。结果填入表7-97。

表7-97 荔枝蒂蛀虫发育进度调查表

1.3 室内观察

1.3.1 调查时间 从当地最早熟品种第一次生理落果开始至采果期,在每代幼虫盛发期采集落地果1~2次。

1.3.2 调查方法 选择当地有代表性的早、中、迟熟品种果园各1个,每品种采集落地果300个以上,带回室内,当天剥检100个以上落地果。记录蛀果数和活虫数,计算蛀果率和百果活虫数,结果填入表7-98;将剩余落地果用广口瓶装好(百果活虫数低于20头时,增加落地果调查数量,以确保总虫数达到50头以上),在果实表面覆盖少量的荔枝或龙眼叶片,然后用纱布封口(注意观察条件应与大田保持基本一致,要通风、透光,且观察用容器应为果实体积的3倍以上),逐日观察并记录各级蛹数和羽化数,结果填入表7-99。

表7-98 荔枝蒂蛀虫落地果室内剖检记录表

表7-99 荔枝蒂蛀虫落地果室内逐日观察记录表

注:化蛹结束(连续3天无幼虫出果化蛹),剖检落果统计未化蛹幼虫数(未化蛹幼虫视为死亡幼虫),蛹数+蛹壳数+未化蛹幼虫数即为总虫数。

2 预测预报方法

2.1 发生期预测

根据发育进度,结合气象资料,参考荔枝蒂蛀虫各虫态历期及蛹分级标准,推算发生盛期和防治适期。

2.1.1 短期预测

方法一:通过室内化蛹进度调查,确定化蛹始盛期和高峰期,预测成虫和卵发生期。

预测公式如下:

B(a)=B(p)+l(p)……………………………(1)

H(a)=H(p)+l(p)……………………………(2)

B(e)=B(p)+l(p)+l+l(e)……………………(3)

H(e)=H(p)+l(p)+l+l(e)……………………(4)

在上述各式中:

B(a)——成虫始盛期;

B(p)——化蛹始盛期;

l(p)——蛹历期;

H(a)——成虫高峰期;

H(p)——化蛹高峰期;

B(e)——卵孵始盛期;

l——产卵前期;

l(e)——卵历期;

H(e)——卵孵高峰期。

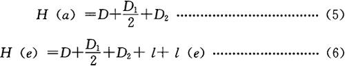
方法二:通过田间发育进度调查,确定田间发生主虫态,利用主虫态预测成虫和卵发生期。预测公式如下:

式中:

D——调查日期;

D1——田间主虫态对应的历期;

D2——主虫态后至成虫(不含成虫)的各虫态历期之和。

2.1.2 中期预测 根据短期预测的成虫高峰期,用历期推算法预测下一代成虫高峰期。预测公式如下:

H(e′)=H(e)+l(a)……………………………(7)

式中:

H(e′)——下代成虫高峰期;

H(e)——当代成虫高峰期;

l(a)——当前温度下的世代历期。

2.2 发生程度预测

以调查的蛀果率为依据,结合品种、气候等因素,并根据发生程度分级标准,进行发生程度预测。

3 防治适期与指标

依据实地测报,在成虫羽化始盛期(即羽化率累加至20%)喷药,隔5天再喷1次,务必将害虫消灭在成虫产卵前期。

随便看

 

离鸟网收录3541549条中英文词条,其功能与新华字典、现代汉语词典、牛津高阶英汉词典等各类中英文词典类似,基本涵盖了全部常用中英文字词句的读音、释义及用法,是语言学习和写作的有利工具。

 

Copyright © 2004-2024 vtrois.com All Rights Reserved
更新时间:2026/4/21 11:20:38