
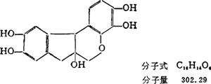
苏木素为类黄酮化合物,主要来源于豆科植物洋苏木(Haematoxylon campechianun.L.)心材,含量在2.0%左右。该植物主产于我国广东、广西两省。
提取 洋苏木切成薄片,加入甲醇水溶液(1:1),于50~60℃温浸,滤过减压浓缩滤液,得膏状物,经柱层析纯化可制得苏木素。
性质 三水合物为白色或微黄色结晶。略微溶于冷水及乙醚,溶于热水及热乙醇,亦溶于碱性氢氧化物、硼砂及甘油。露光变红,溶液在贮存时颜色变深。
检测 紫外UVλ
nm(ε):292(4920)。
用途 苏木素有明显的抗炎和病毒灭活作用〔1〕。无毒,可作为食用色素使用。在铜离子协助下用作氧化型染发剂,与头发亲和力强〔2〕。在护肤品中用量为0.04~0.1%,有显着抑制皮肤黑色素细胞活性,促进肌肤新陈代谢,防止面部色斑生成。
应用举例 护肤乳液〔3〕(W%)

文献来源〔1〕Planta Med.31(3),214,1977;〔2〕Ger.offen.DE3,715,226;〔3〕日本公开特许公报90,49,709。
国内生产厂 北京市化工厂。