网站首页  词典首页


请输入您要查询的字词:

 

字词 节育效果的测量
类别 中英文字词句释义及详细解析
释义

节育效果的测量


节育效果是指育龄人群采用节育措施后防止意外妊娠的效能。节育效果可分为理论效果、使用效果和延续效果。理论效果是指在严格的正规的试验条件下的避孕作用,主要取决于节育方法本身的特征并排除了其他因素的干扰。使用效果是指临床实际使用的效果,也就是现实的生活条件下保护妇女不怀孕的效能。使用效果由于受到社会、心理和生物医学等众多因素的影响,因此是一种较为客观的临床实用效果。通常使用效果低于理论效果。延续效果则指在停用某种节育措施后仍有一段延续的时间保护妇女免于受孕的作用。

在节育效果中,理论效果除宫内节育器外,都很难测量。在实际应用中主要指使用效果和延续效果这两类效果的综合。在某些节育措施的专题性研究中有时专指临床使用效果。

对节育效果进行量的测度,必须确定某些科学的和实用的指标,用以测量已婚有生育能力的妇女由于采用节育措施而减少怀孕的机率。目前人们习惯上采用百分率计算法、妇女年计算法和寿命表计算法得到的失败率来评价某种节育措施的效果。后两种计算方法虽然较为复杂,但迄今仍被国际上广为采用。

一、百分率计算法

以百分率表示的失败率是目前计划生育工作中常用的测量节育效果的指标。严格地讲,这些指标不够准确,因为未考虑使用节育措施的时间因素在内,但由于百分率计算简便而广为采用,并且常见诸于专业文献。百分率的测量指标包括节育措施失败率、并发症发生率和副反应率等,现分别加以叙述。

1.避孕失败率 指一定时期内(通常为1年)采取避孕措施失败而受孕的妇女人数与已采取避孕措施的妇女人数之比,通常以百分率表示。其计算公式如下:

应用该指标时应注意如下几点:

(1)已采取避孕措施的妇女人数包括女方的配偶采用避孕措施者在内,但仅按女方统计。夫妇双方都采用措施的,只计算主要一方。如女方本身同时采用两种措施的,则以主要措施统计。

(2)避孕失败率的对称指标为避孕成功率。由于两指标是互补指标,其算术和等于1。因此,成功率=1-失败率。为节省篇幅,本节只介绍失败率公式而不列出相应的成功率的计算公式。

(3)避孕失败率是一项综合性的指标,用以概括地说明包括各种避孕措施在内的无效程度,以便概括地了解避孕措施的效果。

(4)为了分析和比较各种不同避孕方法的有效程度,应按避孕措施的类别(如宫内节育器、口服避孕药、外用药具等)分别计算失败率。以便了解不同的避孕措施的效果,找出存在的问题和原因,提出改进办法,为进一步落实有效的避孕措施提供参考依据。

2.绝育复通率 绝育复通率一般按男女性绝育分别计算,其中女性绝育复通率系指一定时期内(通常为一年)采用女性绝育术后自然复通而受孕的妇女数与已采取绝育措施的妇女数之比,并以百分率表示。其计算公式如下:

男性绝育复通率系指在某一规定的期间内(通常为1年)采用男性绝育术后自然复通导致女方受孕的人数(要排除术后6个月内由于残留精子造成的妇女怀孕的人数)与同期内采取男性绝育措施人数之比,并以百分率表示。其计算公式如下:

应用上述指标时应注意如下几点:

(1)女性(或男性)绝育复通率是个概括性的指标,其综合性地说明采用女性绝育(或男性绝育)术后因自然复通而失败的程度。由于判定女性(或男性)绝育术后自然复通是个比较复杂的问题,故上述两指标均不够精细。

(2)在计算男性绝育复通率时要注意到,当男方已经绝育而女性未采用任何避孕措施而受孕的情况下,除考虑到男性绝育的自然复通之外,对残留精子造成的怀孕要予以充分地估计,同时也应排除社会因素造成女方怀孕的可能性。

(3)为了进一步分析某项具体绝育术的有效程度,可按绝育术种类(如输卵管结扎术、输精管结扎术等)分别计算复通率。对某些不切断输卵管或输精管的绝育术(如输卵管注药绝育术、输卵管金属夹绝育术、输精管粘堵术、输精管栓堵术、输精管金属环夹术等)也可分别计算失败率,其含义与上述复通率相同。

3.并发症发生率 指某一时期(通常为1年)内,已采用节育措施的人群中并发症发生的概率。通常以千分率表示。其通用的计算公式如下:

应用该率时应注意如下几点:

(1)上式为计算并发症发生率的通用公式,但为确切地了解每种节育措施的并发症,则应按节育措施类型分别计算并发症发生率。如输卵管结扎术并发症发生率、输精管结扎术并发症发生率等。

(2)可按节育术类型分别计算各种并发症的发生率,如输精管结扎术后的痛性结节发生率、附睾郁积发生率等。

4.副反应发生率 指一定时期内(通常为1年)已采取节育措施的人中副反应发生的概率。以千分率表示。其通用计算公式如下:

应用该率时应注意如下几点:

(1)上述为计算副反应发生率的通用公式,它只是一个概括的指标,仅能笼统的说明副反应发生的频率。

(2)为了了解各种节育措施的副反应发生情况,可按节育措施类型分别计算副反应率。

(3)为了了解某种节育措施的各种副反应的发生情况,可按该节育措施的各种副反应名称分类分别计算各种副反应的发生率,便于节育措施相互之间的比较。

二、妇女年计算法

百分率计算法只表示在使用某节育措施总人数中某事件发生的概率。其缺点在于对节育措施使用时间因素未考虑在内。因此,必须引入人时的概念,采用妇女年(人年)的计算方法表述节育的效果。其中,Pearl妊娠率(Pearl pregnancy rate)就是采用妇女年计算方法的评价指标之一。

该一指标是1932年Pearl氏首先提出的,其主要的优点是便于计算,该指标计算公式如下:

上式中分母中使用的是人月(或称妇女月)数,这是人时复合单位,如100个人月可以是100个人每人避孕1个月,或10个人每人避孕10个月,或者5个人避孕20个月,等等。然后,再把人月数换算成人年(妇女年)数。因此,Pearl妊娠率是指每100妇女年的意外妊娠数。

Pearl率虽然是一概括的指标,但有一个基本前提即作为危险的暴露在整个观察期间应当是恒定的。对避孕而言,这个假设通常是不真实的。实际上有可能将妊娠危险性截然不同的两种情况一律对待。避孕的实际情况表明,避孕失败的危险往往随着使用时间的延长而降低。这一方面是由于某些避孕方法,如宫内节育器在开始使用时一般效率较低而易于脱落,同时又因性交较频,故避孕早期的妊娠危险性高。反之,避孕时间长的妇女其妊娠危险性降低。由此可见,Pearl妊娠率主要取决于使用期限。鉴于这种情况,1968年Hemy对Prarl妊娠率提出改进,即固定观察期限如1年,这样计算出来的妊娠率才便于组间比较。

测量避孕效果公认的方法是生命表技术(1ife table technique,它是将生命表的原理和方法应用于避孕效果的评价。为了通俗表达起见,不妨将“开始使用避孕方法”视为“出生”;将“终止使用”视为“死亡”;将“自开始使用的时间”视为“年龄”;将“平均使用时间”视为“期望寿命”。表13-3-1对宫内节育器使用者的Pearl妊娠率和生命表妊娠率加以比较。表中第(7)列可以看作是第(4)列的加权平均,其权数为使用的妇女月。表中第(8)列则将第(4)列的率看作是生命表中的死亡概率(qx)。从而显示Pearl法和生命表法两者处理同样数据的基本差别。表中第(7)列的Pearl妊娠率随时间增加而降低,因此,它不能更好地表示每一使用者的累积妊娠的危险性。而第(10)列生命表累积妊娠率可以更好地估计累积妊娠的危险性是随着时间增加而增加的。可见,用生命表法计算出的生命表妊娠率(1ife table pregnancy rate)可以克服Pearl妊娠率的不足,并具有其他一些优点。因此,近年来有关避孕方法使用效果的研究多应用生命表法,它可以充分利用每名妇女使用避孕方法期间的信息,包括停用的时间和原因。同时,生命表可以估计连续的时间间隔(例如,1个月)期间的续用概率,也可以将这些间隔的续用率相乘计算出更长期间(例如,1年)累积续用概率。而累积续用概率则考虑到了每名妇女被观察的时间长短,这就是为什么生命表法更适合作为评价避孕方法使用效果的理由。

三、生命表法

近若干年来用于分析临床试验和随访研究的生命表技术日益普及,在避孕研究中也已广泛应用,其中先驱工作要首推Tietze,他于60年代初将生命表方法用于评价宫内节育器使用效果,与此同时Potter和Chiang(蒋庆琅)两氏也为此做出很大贡献。这几种生命表的实际计算结果虽有差别,但却是非常相似的,主要在术语的表达方面存在着不同。本节主要介绍经典的Tietze生命表,这是从基层的实际状况出发,一则可以使用计算器即可完成运算,二则避免在表述中使用许多数学公式。现将生命表技术中的一些主要概念和计算方法扼要地加以介绍。

(一)宫内避孕终止类型的定义

1.意外妊娠 包括发生在放置宫内节育器之后取出之前或者带器妇女发觉脱落之前的所有妊娠,以及与带器妇女未发觉脱落或因子宫穿孔节育器外移有关的妊娠。但不包括放置节育器之前的妊娠或被发觉脱落之后的妊娠。从可获得的最可靠的资料推算的怀孕日期就是终止日期。

2.脱落 包括宫内节育器完全脱落到阴道或从阴道脱落到体外,以及节育器部分脱落到子宫颈口外。不包括带器妇女未查觉脱落但已妊娠和妊娠期的脱落。带器妇女发现宫内节育器完全脱落的日期就是终止日期。妇女发觉和未发觉的部分脱落时,取出节育器的日期就是终止日期。带器妇女未查觉节育器完全脱落时,则已知节育器仍在宫腔内的最后访视日期与发现节育器已经完全脱落的日期两者之间的中间日即为终止日期。

3.因出血或(和)疼痛取出 包括放置宫内节育器后因月经过多、月经间期出血或不规则点滴出血而取出者;或因痛经、腹痛和腰痛而取出者。出血和疼痛可以单独计算,也可以合并计算。取出日期即为终止日期。

表13-3-1 宫内节育器使用者Pearl妊娠率和生命表妊娠率的比较

*第8列累积相乘。

4.因其他医疗原因取出 包括夫妇双方中的一方诉说因节育器对身体有影响而取出或者因治疗并发症而取出,即使并发症明显地与宫内节育器无关,取出日期即为终止日期。

5.因计划妊娠取出 带器妇女为怀孕的目的而要求取出者。取出日期即为终止日期。

6.因其他个人原因而取出 指因非医疗原因取出者,其中由科研人员建议取出者除外。包括不再需要避孕而取出者。取出日期即为终止日期。

7.因科研需要取出 包括伴随某项科研步骤而取出者,如子宫内膜活体检查,或者常规地将某种类型和型号的节育器变更为研究者认为更有效、更安全的另一种节育器。

8.停止研究 带器妇女中断了进一步观察,例如转到其它医院或门诊部就诊,以及带器妇女因与节育器无关的原因而死亡者。

9.失访 超过预约就诊时间3个月及以上,又经电话、信件、家庭访视均未获随访资料者,按规定要求放置节育器后1、3、6、12个月随访,以后每半年随访1次,最长的随访间隔为1年。

对终止类型的分类并不是绝对的,要视研究的目的和随访的具体情况而定。一般地讲,在终止项目中妊娠和脱落,应单独列项分析,对于疼痛,出血和感染可单独列项分析,也可以合并为因症取出。因症取出是与节育器使用有关的终止。非因症取出则是指与使用节育器无关的各种原因而取出者。其中包括因计划妊娠取出、因其他个人原因取出、因科研需要取出、带器妇女因已做输卵管结扎术或其配偶已做输精管结扎而取出、妇女本人绝经或丧偶而取出、以及未经计划生育主管部门批准而私自取出者等。对于非因症取出,因为与节育器的使用无关,故不用作效果统计分析用,而是将非因症取出与失访同等看待,作为撤消处理。

(二)生命表分析所需资料

应用生命表技术分析宫内避孕效果,必须收集如下所需资料:

(1)研究的期限。

(2)按照日历月首次放置宫内节育器的人数。

(3)每名带器妇女的终止情况,包括终止类型、宫内节育器的放置日期和终止日期。

(三)顺序月的概念

日历月(calendar month)指按公历年月记载每名妇女第一次放置宫内节育器的时间和放置后因各种原因和理由停用的时间,该时间按逐月生命表要求精确到月,以便于计算使用的期限。表13-3-4中A1列是按放置后的日历月排列,最后1个日历月开始,月份由近及远,B1列是按放置后顺序月排列,月数由小至大。其中放置人数(C1列)和总停用数(D1列)是按日历月排列的;续用人数(E1)按顺序月排列的。所谓顺序月(ordinal month)是指从放置宫内节育器起直到发生妊娠、脱落和因症取出等事件的终止日期之间的时间期限,以月份为时间单位,按照使用期限(月数)长短的顺序依次排列。因此,不管宫内节育器是在那个日历月放置的,均自第1个顺序月开始。就各种理由的停用而言,使用期限仅为1个月的列在第1个顺序月行内,使用期限为2个月的列在第2个顺序月的行内,依此类推。使用期限的计算方法如下:

表13-3-4 按日历月放置和按顺序月计算的续用人数

资料来源:Tietze C.and Lewit S.,Studies in Family Planning 4:35-42,1973。

*放置的日历月中的年份为笔者虚拟,特此证明。

凡放置节育器后未做记录或资料缺如者,因使用期限无法计算,故不列入生命表进行分析。

在放置节育器后发生妊娠、脱落和因症取出的,其使用期限的计算是从放置节育器日期起直至发生上述事件的终止日期止。

对已经掌握确切日期者,其使用月的计算公式如下:使用月数

=终止月份-放置月份+(终止年份-放置年份)×12+(1或0)

最后一项何时加1,何时加0应考虑放置日和终止日二者的大小。若放置日小于或等于终止日的要加1,若放置日大于终止日的则加0;若终止日在日历月最后1天时也要加1。

当终止和放置发生在同一日历月中,则算1个使用月。

使用期限的具体计算现举例如下:

对于仅知月份,而具体终止日不详者,则将该事件的终止日定为该月15日,其计算使用月的规则同上。

表13-3-5中因各种原因的停用,如妊娠、脱落、因症取出、非因症取出以及停用的总数都是按照顺序月排列的。

表13-3-5 放置宫内节育器后每一顺序月中因各种理由的停用数

〔注〕-表示该顺序月内未发生该种类型的终止。

(四)使用的妇女月

妇女月的概念已如前述,所谓使用的妇女月(women-month ofuse)的概念已如前述,它是将某一顺序月的使用者数减去相应顺序月观察人数(续用人数与停用总数之和),两者均未观察满1个月。就续用而言,有的人可能在该月初进入,有的人可能在该月末进入,也就是说可能在该月中的任何一日进入,就停用而言,可能在该顺序月内任何一日停用。因此,就平均而论每个人只观察满半个月。故每个顺序月的使用者数要减去相应顺序月内观察人数的一半才是每个顺序月实际使用宫内节育器人数。由于使用人数是按每个顺序月计算的,因此,使用人数实质上是个使用的人月数,即每个顺序月中的使用的妇女月数。

表13-3-6详细地列出了使用的妇女月的计算步骤,不再赘述。

表13-3-6 使用的妇女月的计算

*列入第一个顺序月的使用者数等于第一次放置宫内节育器人数的总数(D3列的合计);列人下一个顺序月的使用者数是列入上个顺序月的使用者数(F3)减去列入上个顺序月的观察人数(D3)求得。

(五)净累积停用率

计算净累积停用率应用多终点递减生命表(multipe decrement life table)计算,它是基于在1个个体上可能发生多个终点(事件)来考虑的。尤其对宫内节育器使用效果评价的研究即不是一个单一的终点(single end-point),而是把观察的注意力集中到若干终点上,诸如妊娠、脱落和因症取出等多种事件上。多终点递减生命表可以为放置节育器后某一规定观察时期内,因各种理由停用而计算出净累积停用率,每种原因的净累积停用率相加则可得总的净累积停用率,其补数即为净累积续用率。这也就是说各种原因的净累积停用率与净累积续用率之和等于100%(按每100名妇女计算)。

如本节所举的例子,其第6、12顺序月的每100名妇女的净累积率概括如下:

表13-3-2 每100名妇女的净累积率

在计算净累积率时由于同时涉及到其他各种终止原因,故某因素的净累积停用率就受到其他原因终止的影响,这是净累积停用率的特点,务加注意。

净累积停用率的计算可分为3个步骤,第一步先求出放入该月的校正人数(E4)和月初每名妇女的续用率(G4)。详见表13-3-7;第二步则计算每名妇女的各种原因的净月停用率(C5至G5),见表13-3-8;第三步计算每100名妇女在某一规定时期(如1年)内各种原因的净累积停用率(C6至G6),见表13-3-9。

表13-3-7 累积续用率的计算

*每名妇女的累积续用率的计算是将第一个顺序月每名妇女的续用率列在第一行,此后为每个顺序月的继用率乘以上个顺序月的累积续用率求得。

表13-3-8 各顺序月按停用原因分类的每名妇女的净月停用率

表13-3-9 按终止原因分类各顺序月月初每名妇女的净月停用率

计算每名妇女的各种原因的净月停用率,其采用的分母为使用的妇女月加上与宫内节育器使用有关的停用数的一半,即放入该顺序月的校正人数。其分子为放置节育器后相应顺序月内因各种原因的停用数。

计算某因净月停用率,其分母为月初每名妇女的续用率乘以相应顺序月的月停用率。每100名妇女第12个月的各种原因的累积停用率为某因各顺序月的净月停用率之和再乘以100。

(六)粗累积停用率

粗累积停用率不同于净累积停用率。其一,在计算某因停用率时,把其他原因停用作为续用看待。因此,与计算净累积停用率相比分母小,故某因粗累积停用率略高于相应的某因净累积停用率。其二,各种原因的粗累积停用率不能相加得到总累积停用率,也不求总累积续用率。其三,计算某因粗累积停用率由于不考虑其他的停用原因,即某因粗累积停用率是独立于其他事件以外的发生率。因此,粗率便于几种类型宫内节育器间或者几组使用者之间单一停用事件发生率的比较。

本节所举的例子,其第6、12顺序月的每100名妇女的粗累积率概括如下:

表13-3-3 每100名妇女的粗累积率

计算粗累积停用率时应用单终点递减生命表(single decrement life table),其具体计算步骤详见表13-3-10。

表13-3-10 各顺序月月初每100名妇女的粗累积妊娠率

*每名妇女的月累积未妊娠率的计算是将第一个顺序月的未妊娠率例入第1行,此后为每个顺序月的月未妊娠率乘以前1个顺序月的累积未妊娠率求得。

(七)标准误和95%可信限

标准误是表示样本率距总体率离散程度的统计指标,在实际节育效果的评价中,如宫内节育器的避孕效果测量中只能得到样本的净或粗累积停用率。为了更好的推断总体的参数则需要计算标准误。

Potter曾介绍了一种计算累积率标准误的方法,并可得到一个合理的近似值,但要求暴露于妊娠危险的妇女数不低于100。用于估计净和粗累积停用率的标准误的计算公式如下:

式中:R=在一定时期末每100名妇女的累积停用率。

T=在同一时期同一终止类型的停用数。

样本的累积停用率对总体的累积停用率的推断只是一个“点估计”,如果根据样本的累积停用率和标准误对总体累积停用率的范围做出一个“区间估计”的话,则要引入可信限的概念。其95%的可信限为:

上限LL=R-1.96SE

下限UL=R+1.96SE

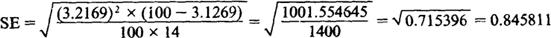
将上式用于计算一年年末粗累积妊娠率标准误和95%可信限的方法如下:

R=(1-0.967831)×100=3.2169

T=14

LL=3.2169-1.96×0.845811=1.559110=1.56

UL=3.2169+1.96×0.845811=4.874690=4.87

(八)粗累积停用率的卡方检验

在比较两种或两种以上节育器之间的某一特别终止类型的粗累积停用率的显着性差异时可使用卡方检验。卡方检验是一种用途较广的显着性检验方法,常用以检验两个或两个以上样本率之间的显着性。就比较避孕效果而言,在实际计算过程中不是直接用粗累积率计算,而用人数计算。其统计学含义是说明在所有的时点上而不是在某一特定时点上两样本粗累积停用率间是否具有统计学差别。值得指出的是,卡方检验在检测粗累积率的显着性差别时相当灵敏。因此,可用于不同“时段”粗累积率之间的比较。

下述例子是一项评价两种宫内节育器效果的临床随机化研究。其粗累积妊娠率的卡方检验步骤列于表13-3-11。具体计算方法如下:

表13-3-11 两种宫内节育器粗累积妊娠率的卡方检验计算表

注:校正观察人数由Potter氏生命表法计算求得。

(1)使用两种宫内节育器的妇女在每个顺序月中暴露于妊娠危险的校正人数分别为,两者之和为∑N*

(2)使用两种宫内节育器的妇女在每个顺序月中实际观察到的妊娠人数分别为O(11和O(2),其总和为∑O。

(3)在每个顺序月中理论妊娠人数根据下式求得:

(4)按宫内节育器的类型将1~12个顺序月或13~24顺序月的实际妊娠人数和理论妊娠人数分别相加求和并列在相应的横线下。

(5)然后按下式进行卡方检验,其自由度(df)为1。

根据求出的卡方值大小查表判定在P=0.05或P=0.01的检验水平上是否显着。

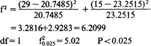
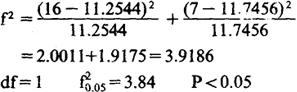
(6)卡方检验计算举例:

1~12顺序月

13~24顺序月

1~24顺序月

上述卡方检验结果表明,两种宫内节育器的粗累积妊娠率在1~12顺序月和13~24顺序月均有显着性差别,1~24顺序月有非常显着差别。

随便看

 

离鸟网收录3541549条中英文词条,其功能与新华字典、现代汉语词典、牛津高阶英汉词典等各类中英文词典类似,基本涵盖了全部常用中英文字词句的读音、释义及用法,是语言学习和写作的有利工具。

 

Copyright © 2004-2024 vtrois.com All Rights Reserved
更新时间:2026/4/19 1:01:59