网站首页  词典首页


请输入您要查询的字词:

 

字词 股票衍生工具
类别 中英文字词句释义及详细解析
释义

股票衍生工具


衍生工具是价值从基础股票、股指、债券、外汇和商品等现货市场工具的表现衍生而来的合约。当衍生工具的基础为股票或股指时,合约被称为股票衍生工具。本章的目的是解释这些工具及其投资特征,并概述它们是如何定价的。本章描述的股票衍生工具的基本特征适用于固定收益衍生工具,后者是下一章的主题。

衍生工具的角色

股票衍生工具具有数个提供经济益处的特性,这些益处使它们成为可在股票投资组合管理中利用的上好工具。这些特性从衍生工具在投资组合管理中担任的以下四个角色衍生而来:(1)修正投资组合的风险特征(风险管理);(2)提高投资组合的预期收益率(收益管理);(3)降低管理投资组合的交易成本(成本管理);以及(4)在法律、税收或监管障碍下实现效率(监管管理)。

机构股票投资者可以用多种产品和产品结构实现投资目标。例如,养老基金可以设计产品以达到资产配置目标、投资于国外市场或直接管理风险。满足其需求的产品包括上市股指期货和股票互换。工具的选择取决于投资者的特定需求和环境。在每种情形下,为投资问题设计衍生工具解决方案的好处都牵涉到成本的降低、风险管理或特定法律或监管限制的管理。

股票衍生工具赋予了投资者更大的自由度。过去,养老基金投资策略的实施和管理依赖于管理风格,并且是在现货市场执行的。养老基金通过管理风格的多元化管理风险。在场外(OTC)衍生工具市场于20世纪80年代后期出现以前,投资者最早可以利用的风险管理工具仅限于上市期货和期权市场。尽管上市衍生工具为投资者的风险管理工具箱增加了一种颇具价值的手段,但由于其标准化的特征、有限的规模和流动性限制,它们的应用受到了限制。OTC衍生工具市场使投资者能够接触到更好地与其投资期匹配的长期产品,并提供了精确符合其风险/回报要求的灵活结构。独特股票衍生结构的数量在本质上是无穷的。

股票衍生工具市场

衍生工具的三个大类为:(1)期货和远期合约,(2)期权,(3)互换。基本的衍生证券为期货/远期合约和期权。收益更为复杂的互换和其他衍生结构被认为是混合证券,我们可以证明它们不过是以各种形式组合起来的远期合约、期权和现货工具的组合。

股票衍生工具还可被划分为上市衍生工具和OTC衍生工具这两个类别。上市衍生工具市场由期权、认股权证和期货合约组成。主要的上市期权市场由基于个股、股指和股指期货合约的交易所交易期权组成,它们具有标准化的执行价格、期限和收益支付条件。芝加哥期权交易所(CBOE)于1993年引进了灵活交易所(FLEX)期权,它提供了OTC市场的量身定制特征,但同时具有交易所的担保。上市期货市场由具有标准化的清算日和清算条件的交易所交易股指期货组成。

OTC股票衍生工具不在交易所交易,由于它们提供了完全的灵活性并可根据投资策略量身设计,因此比上市衍生工具更具优势。OTC股票衍生工具市场可被划分为三个成分:OTC期权和认股权证、股票关联债券投资和股票互换。OTC股票期权是量身定制的期权合约,它们可被应用于任何股指、股票组合或个股。OTC期权是投资者与发起期权的交易商私下谈判的合约。期权结构在执行价格、期限和收益支付特征方面具有完全的灵活性。

然而,上市衍生工具与OTC衍生工具的一个根本区别是:上市期权和期货合约具有交易所的担保,而在OTC市场中,衍生工具是一个作为对家的非交易所主体的义务。因此,投资者将承担信用风险或对家风险。

上市股票期权

股票衍生产品或是在交易所交易的上市衍生工具,或是场外衍生工具。在本节中,我们将考察上市股票期权。

在期权合约中,期权出售者赋予了期权购买者在指定日期前以一个指定价格与出售者加入一笔购买或出售基础资产的交易的权利。这个指定价格被称为执行价格,指定日期被称为到期日。期权出售者为赋予这项权利获取一笔特定金额的资金,这笔资金被称为权酬或期权价格。

期权出售者亦称期权立权方,而期权购买者为期权持有者。期权所基于的资产叫做基础资产。基础资产可以是个股、股指或另一种衍生工具(如期货合约)。期权出售者可以赋予期权持有者两种权利。假如这项权利是购买基础资产,那么期权被称为买权。假如这项权利是出售基础资产,那么期权被称为卖权。

期权还可根据购买者可以执行期权的时间分类。这被称为执行风格。欧式期权只可在合约的到期日执行。美式期权则可在到期日或到期日前的任何时候执行。

交易条件是由合约单位表示的,它通常是100股个股或股指数值的一个倍数。大多数合约的交易条件都是标准的。FLEX期权的合约条件可以在四个方面量身定制:基础资产、执行价格、到期日和清算风格。后面将讨论这些期权。

期权持有者以一笔开局交易加入合约。随后,期权持有者可以选择执行或出售期权。持有者对现有期权的出售是清盘出售(closing sale)。

上市股票期权与OTC股票期权

上市期权相对OTC期权具有三个优势。首先,合约的执行价格和到期日是标准化的。其次,由于上市期权的可替代性质,在期权交易委托单执行后,买方与卖方的直接联系将被切断。期权清算公司(OCC)担任了买方与卖方的中介。最后,上市期权的交易成本比OTC期权低。

机构投资者在许多情形下需要量身定制的期权。OTC期权的更高的成本反映了这种量身定制。然而,一些OTC异型期权结构的成本可能会低于与其相近的标准化期权,因为投资者购买了更为特定的收益。

上市期权与OTC期权的一个重要区别是信用风险或对家风险的存在。只有期权购买者被暴露于对家风险中。在交易所交易的期权与在做市商网络中交易的OTC期权具有不同的处理信用风险问题的方法。交易所通过要求缴纳保证金、逐日盯市、施加规模和价格限制、并同时为交易双方担任中介,降低了对家风险。清算过程提供了三个层次的保护:(1)客户的保证金,(2)会员公司的担保,以及(3)清算所。OTC市场在对家双方的合约中包含了各种条款以解决信用风险问题,我们将在后面讨论OTC衍生工具时描述这些条款。

对上市期权而言,一旦期权价格得以全额支付后,交易所对期权的购买者就没有保证金要求。由于期权价格是期权购买者可以损失的最高金额,因此无论基础工具的价格变化多么不利,期权购买者都不需要缴纳保证金。期权出售者已同意将基础头寸所隐含的风险从期权购买者转移至其自身。另一方面,交易所对出售者则有特定的保证金要求。

上市期权的基本特征

表28.1总结了上市期权的基本特征。该表被分为四个类别,并显示了每个期权类别的基本特征。这些特征包括期权类型、基础资产、执行价格、清算信息、到期日周期、执行风格和一些交易规则。

表28.1 上市股票期权的基本特征

股票期权

指数期权

LEAP期权

FLEX期权

股票期权是指基于个股或美国存托凭证(ADR)的上市期权。基础工具为100股指定股票。美国的所有上市股票期权都可以在到期日前的任何时候执行;也就是说,它们是美式期权。

指数期权是基础工具为股指、而不是个股的期权。指数买权赋予了期权购买者购买基础股指的权利,而卖权则赋予了期权购买者出售基础股指的权利。与可以交割股票的股票期权不同,假如期权持有者执行期权,那么通过交割组成指数的所有股票清算股指期权将极其复杂。相反,指数期权是现金清算合约。这意味着假如期权持有者执行期权,期权出售者将向期权持有者支付现金。出售者不需要交割任何股票。

最具流动性的指数期权为基于S&P100指数(OEX)和S&P500指数的期权。这两种期权都在CBOE交易。指数期权可以作为美式或欧式期权上市。S&P500指数期权合约是欧式的,而OEX则是美式的。两种指数期权合约都具有特定的标准化特征和合约条款。此外,这两种期权都具有较短的到期日周期。全球将近有100种股指期权合约在20个国家的26个独立交易所上市。最新出现的指数期权有基于道琼斯STOXX50和道琼斯EURO50股指的期权。这些指数由50家欧洲的工业、商业和金融蓝筹公司组成。

我们应指出指数期权的以下机制。指数期权的基础股指的美元价值等于当前的现货指数数值乘以合约的倍数。也就是说,

基础指数的美元价值=现货指数数值×合约倍数

例如,假如S&P100的现货指数数值为530,那么S&P100合约的美元价值将为530×$100=$53000。

对股票期权而言,期权购买者可以购买或出售股票的价格为执行价格。对指数期权而言,执行指数是期权购买者可以购买或出售基础股指的指数数值。我们通过将执行指数乘以合约的倍数,将执行指数转换为美元价值。例如,假如执行指数为510,那么美元价值将为$51000(510×$100)。假如投资者购买了执行指数为510的S&P100买权,并在指数数值为530时执行了期权,那么投资者即拥有了在指数的市场价值为$53000时以$51000购买指数的权利。买权的购买者将从期权出售者那里获取$2000。

表28.1显示的其他两个类型——LEAP和FLEX期权——在本质上修正了股票期权或指数期权(或两者兼而有之)的一个现有特征。例如,股票期权和指数期权合约都具有较短的到期日周期。长期股票预期证券(Long-Term Equity Anticipation Securities,LEAP)是为了提供期限更长的期权设计的。这些合约有基于个股和基于某些指数的。股票期权LEAP与标准股票期权相似,但其期限最长可达自发起日后的39个月。指数期权LEAP的规模与标准指数期权不同,其倍数为10、而不是100。

FLEX期权使用户可以指定股票期权或指数期权合约的条件。FLEX期权的价值是能够在四个方面量身定制合约条款:基础资产、执行价格、到期日和清算风格。此外,交易所还提供了投资者可以冲销或改变头寸的二级市场和独立的每日标价。FLEX期权是应不断扩大的OTC市场发展起来的。交易所通过竞争性的拍卖市场、活跃的二级市场和每日的估计提供了价格发现,并同时基本消除了对家风险,从而使FLEX期权变得具有吸引力。FLEX期权代表了上市期权与OTC产品的一个链接。

期权的风险和收益特征

现在,让我们说明四个基础期权头寸——购买买权(买权多头)、出售买权(买权空头)、购买卖权(卖权多头)和出售卖权(卖权空头)——的风险和收益特征。我们将以股票期权为例。这些例子假设每个期权头寸都被持有至到期日。此外,为了简化例子,我们假设每份期权的基础资产为1股、而不是100股股票,并忽略了交易成本。

购买买权

假设我们有一种在1个月后到期、执行价格为$100的XYZ股票买权。期权价格为$3。假设XYZ股票的即期价格为$100。(即期价格为现货市场价格。)损益将取决于XYZ股票在到期日的价格。假如股票价格上升至执行价格以上,买权购买者将会获益。假如XYZ股票的价格等于$103,那么买权购买者将盈亏平衡。最高损失为期权价格。假如股票价格上升超过$103,那么买权购买者将具有很大的上升收益潜力。图28.2显示了这种买权的购买者在到期日的损益状况。

我们值得比较一下买权购买者的损益状况与持有1股XYZ股票多头的投资者的损益状况。这个头寸的收益取决于XYZ股票在到期日的价格。持有XYZ股票多头的投资者将在XYZ股票每$1的价格升幅上实现$1的利润。然而,随着XYZ股票价格的下跌,投资者也会相应地蒙受同样幅度的损失。假如价格的跌幅超过$3,那么XYZ股票的多头将蒙受$3以上的损失。相比之下,买权多头则将损失限制在$3的期权价格以下,但保留了上升收益潜力(收益将比XYZ股票的多头少$3)。那么哪个选择更好,是购买买权还是购买股票?答案取决于投资者希望实现的目标。

出售买权

为了说明期权出售者的头寸,我们利用上述例子中的相同买权。买权空头(即买权出售者的头寸)在到期日的损益状况是买权多头(买权购买者的头寸)的损益状况的镜像。也就是说,买权空头在XYZ股票的任何既定到期日价格水平的利润都等于买权多头的损失。因此,买权空头可以产生的最高利润为期权价格。最高损失则没有上限,因为它是XYZ股票在到期日或到期日之前达到的最高价格减去期权价格;这个价格可以无限高。图28.1显示了这种买权的出售者在到期日的损益状况。

图28.1 买权空头和买权多头在到期日的损益状况

购买卖权

为了说明卖权多头,我们假设一种还有1个月到期、执行价格为$100的1股XYZ股票的虚拟卖权。假设卖权售价为$2,XYZ股票的即期价格为$100。这个头寸在到期日的损益取决于XYZ股票的市场价格。假如股价下跌,卖权购买者将会获益。图28.2显示了这种卖权的购买者在到期日的损益状况。

与所有期权多头相同,损失被限制在期权价格以下。然而,利润潜力很大:假如XYZ股票的价格下跌至零,卖权多头将会产生最高理论利润。让我们将这个利润潜力与买权购买者的利润潜力进行比较。买权购买者的最高理论利润不能被事先确定,因为它取决于XYZ股票在到期日或到期日之前可以达到的最高价格。

为了看到期权是如何改变投资者的风险/收益状况的,我们再次将之与股票XYZ的头寸进行比较。我们将卖权多头与XYZ股票的空头进行比较,因为假如股票的价格下跌,这个头寸也将获益。尽管建立股票空头的投资者面临着全部的损失风险和收益潜力,但建立卖权多头的投资者则在保留收益潜力(收益减少了相当于期权价格的金额)的同时,仅面临着有限的损失风险(等于期权价格)。

出售卖权

卖权空头的损益状况是卖权多头的镜像。这个头寸实现的最高利润为期权价格。假如基础股票的价格下跌,那么最高理论损失可能会十分严重;假如价格一直下跌至零,损失将等于执行价格减去出售者获取的期权价格。图28.2显示了这种卖权的出售者在到期日的损益状况。

图28.2 卖权空头和卖权多头在到期日的损益状况

期权的价值

现在,我们将考察影响期权价值的基本因素,并讨论一个着名的期权定价模型。

期权价格的基本成分

期权的价格反映了期权的内在价值和任何超过其内在价值的额外溢价。超过内在价值的溢价通常被称为时间价值。

内在价值 期权的内在价值是期权在被立即执行的情况下具有的经济价值。假如立即执行期权不会产生任何正数的经济价值,那么内在价值为零。对买权而言,假如基础股票的即期价格(即现货市场价格)高于执行价格,内在价值将是正数。内在价值为两个价格的差额。假如买权的执行价格高于或等于基础股票的即期价格,那么内在价值为零。例如,假如买权的执行价格为$100,基础股票的即期价格为$105,那么内在价值为$5。也就是说,执行期权并同时出售基础股票的期权购买者将以$100从期权出售者那里购买基础股票,并从基础股票的出售实现$105,从而获取$5的净收益。

当期权具有内在价值时,我们称期权处于价内(in the money,ITM)。当买权的执行价格高于基础股票的即期价格时,我们称买权处于价外(out ofthe money,OTM);它不具有内在价值。执行价格等于基础股票即期价格的期权被称为平价期权(at the money)。平价期权和价外期权的内在价值都为零,因为执行这些期权无利可图。当基础股票的即期价格高于$100时,我们的执行价格为$100的买权将处于价内;当基础股票的即期价格低于$100时,买权将处于价外;当基础股票的即期价格等于$100时,买权将为平价期权。

对卖权而言,内在价值等于基础股票的即期价格低于执行价格的差额。例如,假如卖权的执行价格为$100,基础股票的即期价格为$92,那么内在价值将为$8。执行卖权并同时购买基础股票的卖权购买者将实现$8的净收益,因为他将以$92在市场中购买基础股票并以$100的价格将之出售给期权出售者。假如执行价格低于或等于基础股票的即期价格,内在价值将为零。

对于我们的执行价格为$100的卖权,当基础股票的即期价格低于$100时,期权将处于价内;当基础股票的即期价格超过$100时,期权将处于价外;当基础股票的即期价格等于$100时,期权将为平价期权。

时间价值 期权的时间价值是期权价格超过内在价值的差额。期权购买者希望在到期日前的某个时候,基础股票市场价格的变化能够提高期权所赋予的权利的价值。期权购买者愿意为了这个前景支付高于内在价值的溢价。例如,假如当基础股票的即期价格为$105时,执行价格为$100的买权的价格为$9,那么这种期权的时间价值为$4($9减去$5的内在价值)。假如基础股票的即期价格为$90、而不是$105,那么这种期权的时间价值将为$9,因为期权没有内在价值。在其他因素相等的情况下,期权的时间价值将随着距到期日时间的延长而上升,因为基础股票的价格发生有利变化的机会将更大。

期权购买者可以用两种方式实现期权头寸的价值:第一种方式是执行期权,第二种方式是出售期权。在上述的第一个例子中,由于期权的执行将仅实现$5的收益,并立即损失所有的时间价值(在我们的第一个例子中为$4),因此出售买权将会更好。一般而言,假如期权购买者希望实现头寸的价值,那么出售期权将比执行期权在经济上更为有利。然而,在某些情形下,根据期权购买者是能够从持有期权还是从执行期权并在到期日前对现金收入进行再投资获得更高的到期日总收入,在到期日前执行期权可能会更好。

影响期权价格的因素

下列六个因素将会影响期权的价格:

1.基础股票的即期价格

2.执行价格

3.期权距到期日的时间

4.基础股票在期权期限内的预期价格波动率

5.期权期限内的短期无风险利率

6.基础股票或指数在期权期限内的预期现金红利

每个因素的影响依赖于:(1)期权是买权还是卖权,(2)期权是美式期权还是欧式期权。表28.2总结了每个因素对美式卖权和买权价格的影响。

表28.2 影响美式期权价格的因素的总结

让我们注意基础股票在期权期限内的预期价格波动率是如何影响卖权和买权的价格的。在所有其他因素相等的情况下,基础股票的预期价格波动率越大(用标准差或方差测量),投资者就愿意为期权支付越高的价格,期权出售者要求的价格也会越高。这是由于波动率越大,基础股票的价格在到期日前的某个时候向有利于期权购买者的方向变化的概率就越大。

期权定价模型

研究者已开发了数个模型确定期权的理论价值。最受欢迎的是Fischer Black和Myron Scholes于1973年为欧式买权的定价开发的模型。(1)在此之后,人们对这个模型进行了数项修正。我们将在这里讨论这个模型,以使读者了解这些因素对期权价格的影响。

通过设定某些假设并利用套利推理,布莱克-斯科尔斯(Black-Scholes)期权定价模型提供了不支付红利的股票的欧式买权的公平(或理论)价格。在本质上,推导这个模型和其他期权定价模型的套利推理背后的思路是:假如持有买权的收益可以通过购买买权的基础股票并借取资金复制,那么期权的价格将(最多)等于创建复制策略的成本。

布莱克-斯科尔斯模型的公式为:

K=执行价格

r=短期无风险利率

e=2.718(1的自然反对数)

t=距到期日的时间(以一年的一个比例测量)

s=股价变化的标准差

N(.)=累积概率密度(2)

注意,公式中包含了我们在本章前面提到的影响期权价格的前五个因素。然而,公式中未包含第六个因素——预期现金红利,因为模型是为不支付红利的股票建立的。在布莱克-斯科尔斯模型中,每个因素的影响的方向都与前面提到的相同。我们很容易观察到其中四个因素——执行价格、基础股票的价格、距到期日的时间和无风险利率。我们必须估计基础股票价格的标准差。

从布莱克-斯科尔斯模型推导出来的期权价格是“公平”的,这是指假如存在任何其他价格,那么投资者可以通过建立一个相反的基础股票头寸,赚取无风险的套利利润。也就是说,假如市场中的买权价格高于从布莱克-斯科尔斯模型推导出来的价格,那么投资者可以出售买权并购买特定数量的基础股票。假如相反情况成立,即买权的市场价格低于从模型推导出来的“公平”价格,那么投资者可以购买买权并卖空特定数量的基础股票。这种通过建立基础股票的头寸进行对冲的程序使投资者能够锁定无风险的套利利润。对冲头寸所需的股票数量将会随着影响期权价格的因素的变化而变化,因此对冲头寸必须被不断加以改变。

为了说明布莱克-斯科尔斯模型,让我们假设以下数值:

执行价格 =$45

距到期日的时间 =183天

股票即期价格 =$47

预期价格波动率 =标准差=25%

无风险利率 =10%

用公式中的数值表示:

S=47

K=45

t=0.5(183天/365,四舍五入)

s=0.25

r=0.10

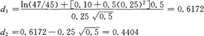
将这些数值代入前面显示的等式,我们得出

从正态分布表格,我们得出:

N(0.6172)=0.7315和N(0.4404)=0.6702

于是:

C=47(0.7315)-45(e-(0.10)(0.5))(0.6702)=$5.69

表28.3显示了在下列变量的不同假设下从布莱克-斯科尔斯模型计算得出的期权价值:(1)标准差,(2)无风险利率,(3)距到期日的时间。注意,期权价格直接随着这三个因素变化。也就是说,(1)波动率越低(高),期权价格就越低(高);(2)无风险利率越低(高),期权价格就越低(高);(3)距到期日的时间越短(长),期权价格就越低(高)。所有这些都与表28.2显示的因素变化对买权价格的影响一致。

表28.3 在每次改变一个因素的情况下对布莱克-斯科尔斯买权价格的比较

基础情形

买权:

执行价格=$45

距到期日的时间=183天

股票即期价格=$47

预期价格波动率=标准差=25%

无风险利率=10%

除了预期价格波动率外,保持所有因素不变

除了无风险利率外,保持所有因素不变

除了距到期日的时间外,保持所有因素不变

我们如何确定卖权的价值?基础股票的即期价格、买权价格和卖权价格之间存在关系。这被称为卖权-买权平价关系。假如我们可以计算买权的公平价值,那么就可以从卖权-买权平价关系计算基于同一股票的具有相同执行价格和到期日的卖权的公平价值。

期权价格对因素变化的敏感度

投资经理在投资策略中利用期权时,将希望知道期权价格对任何一个影响其价格的因素的变化有多么敏感。让我们讨论买权价格对基础股票的价格、距到期日的时间和预期价格波动率的变化的敏感度。

买权价格与基础股票的价格 在风险管理中利用期权的投资经理希望知道期权头寸将如何随着基础股票价格的变化而变化。估计这个敏感度的测度是期权的德尔塔。这个测度显示了在基础股票的价格变化$1的情况下,期权价值的大致变化。(3)德尔塔的测量方式如下:

例如,0.4的德尔塔意味着$1的基础股票价格变化将导致买权的价格变化大约$0.40。

买权的德尔塔在0(深入价外的买权)和1(深入价内的买权)之间。平价买权的德尔塔大约为0.5。

买权价格与距到期日的时间 假设所有其他因素保持不变,距到期日的时间越长,期权价格就越高。由于期权每天都更接近于到期日,距到期日的时间将会逐渐缩短。期权的塞塔测量了期权价格随着距到期日时间的缩短而发生的变化,或等价地说,它是时间衰减的测度。塞塔的测量方式如下:

假设基础股票的价格不发生变化(这意味着期权的内在价值不发生变化),塞塔测量了随着期权逐渐接近到期日,期权时间价值的变化有多快。期权购买者偏好较低的塞塔,从而随着期权接近到期日,期权的价格不会迅速下降。期权出售者则获益于具有较高塞塔的期权。

买权价格与预期价格波动率 假设所有其他因素保持不变,预期价格波动率的变化将导致期权价格的变化。期权的维加(亦称卡帕)测量了在预期价格波动率变化1%的情况下,期权的美元价格所发生的变化。即,

期货合约

期货合约是买方和卖方同意在一个指定日期以预定价格交易基础工具的协议。交易双方在合约期限内都有履约义务,没有任何一方会收取费用。一旦双方达成交易后,期货合约交易所在的交易所将成为交易对家,从而切断了初始交易双方之间的关系。

每种期货合约都附有对合约条件的精确描述,包括对基础工具、合约金额、清算周期、交易规格和头寸限制的描述。事实是,在期货合约中,交割不是任何一方的目的,因为这些合约主要是被用以管理风险或成本的。

期货合约的性质规定了合约有一个在指定日期购买或出售标准数量的基础工具的买方和卖方。然而,当我们谈论买方和卖方时,我们不过是采用了期货市场的语言,它用合约当事方所承诺的未来义务称呼他们。期货合约的购买者同意接受基础工具的交割,并被称为拥有期货多头。当基础工具的价格上升时,期货多头将会获益。由于期货可被认为是替代了现货市场中的一笔未来交易,因此期货多头与在不发生购买基础工具的经济成本并且不获得来自基础工具的收入的情况下持有基础工具相似。另一方面,卖方被称为持有期货空头,并在基础工具的价格下降时获益。

双方同意交易基础工具的指定价格被称为期货价格。双方必须进行交易的指定日期被称为清算日或交割日。与期权不同,在合约创建时,买方和卖方之间没有资金换手。然而,期货经纪人和期货交易所会要求投资者缴纳初始保证金以作为“诚信”存款。此外,投资者还必须在相应的期货账户中维持一笔被称为维持保证金的最低金额的资金。初始保证金和维持保证金可以短期信用工具的形式持有。

交易所对期货进行逐日盯市。这意味着投资者每日的头寸损益被立即反映在其账户中。期货头寸每日的现金流被称为变动保证金,它在本质上意味着期货合约是每日被加以清算的。因此,期货合约的买方在基础工具的价格下降时支付变动保证金,而卖方则在基础工具的价格上升时支付变动保证金。由于现金流出必须是以现金支付的,因此变动保证金与其他形式的保证金有所不同。

期货合约具有清算周期,在同一时间可能会有数种合约发生交易。清算日最近的合约被称为临近期货合约(nearby futures contract),并且通常最具流动性。次近的期货合约是紧接在临近合约后清算的合约。清算日最靠后的合约被称为最远期货合约(most distant futures contract)。

期权与期货的区别

期货与期权的根本区别在于:期权的购买者(多头)拥有加入交易的权利,而不是义务。期权出售者必须在购买者希望交易的情况下履行交易义务。相比之下,期货合约的双方都具有履约义务。此外,在建立头寸时,持有期货多头的一方不必向持有期货空头的一方支付价款。相比之下,购买期权的一方必须向出售期权的一方支付价款以建立头寸。所支付的价格被称为期权价格。

期货合约与期权合约的收益支付结构也有所不同。期权合约的价格代表了消除或修正基础工具的风险/收益关系的成本。相比之下,期货合约的收益支付对买方和卖方而言是一美元对一美元的收益或损失。当期货价格上升时,买方将会获益,卖方则会受损;而当期货价格下降时,买方将会蒙受一美元对一美元的损失。

因此,期货的收益支付是对称的,而期权的收益支付则是偏斜的。期权购买者的最高损失为期权价格。期货买方的损失则是合约的全部价值。期权购买者的损失有限,但保留了基础股票头寸的价值上升的好处。期权出售者能够实现的最高利润为期权价格,并承担了显着的损失风险。期货合约买方和卖方的损益则是完全对称的。因此,期货可被用以对冲对称的风险,而期权则可被用以对冲不对称的风险。

期货的特征

期货合约的关键要素包括期货的价格、基础工具的数量和清算日(或交割日)。股指期货合约的基础资产是由指数代表的股票组合。

基础股票组合的价值等于以特定货币表示的指数值乘以一个被称为倍数的数值。例如,假如S&P500指数的当前数值为1100,那么12月份S&P500期货合约的卖方在理论上有义务在12月份交割组成指数的500只股票的组合。这种合约的倍数为500。该股票组合将必须精确地复制指数,组合中的股票权重应等于其在指数中的权重。一份期货合约的当前价值为$275000(=1100×250)。

然而,由于交割精确复制基础指数的500种股票的组合所存在的问题,股指期货合约用现金交割代替实物交割。在最终清算日,期货价格等于即期价格,期货合约的价值等于代表股指的基础复制组合的实际市场价值。合约被按照清算价格(即即期价格)调整头寸价值,然后得以清算。

表28.4列举了在美国交易的一些股指期货。

表28.4 在美国交易的一些股指期货合约

为股指期货定价

期货合约是基于即期价格和持有成本(cost of carry)的考虑因素定价的。对股票合约而言,这些因素包括基础资产头寸的融资成本、基础股票的红利收益率和距期货合约清算日的时间。理论期货价格是根据股票即期价格并按持有成本调整推导而来的。我们可以用无风险套利推理证实这点。

定价模型的逻辑是:购买期货合约可以被看作是对未来现货市场交易的暂时替代。此外,期货合约不是待购买的资产,在合约达成时,没有资金经过换手。期货合约是双方约定未来交易的条件的协议。正是这些事实导致我们得出了期货合约与基础工具的定价关系。期货合约的卖方最终将负责交割基础工具,并会要求为持有基础工具所发生的成本获得补偿。因此,期货价格将反映基础工具的融资成本。然而,期货合约的买方不持有基础工具,因此不会获取红利。期货价格必须被加以下调,以考虑到这个因素。融资成本与红利收益率的差额被称为净持有成本。期货价格建立在净持有成本(即在扣除基础股票的红利收益率后的融资成本)的基础上。也就是说,

期货价格=即期价格+融资成本-红利收益率

借款利率或融资利率为货币市场工具的利率,股指期货的红利收益率为代表股指的股票组合的红利收益率。从这个程序推导出来的理论期货价格是期货合约的公平价值模型。这是定义无套利条件的价格。无套利条件是卖方愿意出售并且买方愿意购买、但他们不可能获取无风险利润的期货价格。

用数学表示的理论期货价格取决于红利的处理方式。对每季支付红利的个股而言,理论期货价格可以用根据合约期限内预期红利的现时价值和融资成本调整即期价格后的结果表达。以下给出了这个表达式:

F(t,T)=[S(t)-D]×[1+R(t,T)]

其中,

F(t,T)=在未来的时间T清算的合约在时间t的期货价格

S(t)=即期价格

D=在合约期限内预期获得的红利的现时价值

R(t,T)=一笔到期日与期货清算日相同的贷款的借款利率

例如,假设S&P500股指的即期价格为1175,借款利率为6%,距清算日的时间为60天,指数的预期红利收益率为2.071%。当S&P500股指的即期价格为1175时,2.071%的年红利收益率对应于4个指数点数。

1175×[0.02071×(60/365)]=4个指数点数

理论期货价格可以用以下方法计算:

D=4/(1+0.06)60/365=3.96

R=(1+0.06)60/365-1=0.009624或0.9624%

F(t,60)=[1175-3.96]×1.009624=1182.31

假如实际期货价格高于或低于1182.31,那么将存在无风险套利机会。假如实际期货价格高于公平价值,那么期货合约的价值被高估了。套利者将会出售期货合约、借取足够的资金购买基础股指并持有头寸,直至期货合约回复至公平价值或在清算日被加以清算为止。

例如,假如我们假设实际期货价格为1188,那么下列头寸将导致无风险套利:

□ 以1188出售定价过高的期货

□ 借取金额为1175的资金

□ 购买金额相当于1175的复制指数的股票组合

这个头寸可以在60天后的清算日被加以抛售,并且对套利者没有任何风险。在清算日,期货的清算价格等于即期价格。假设即期价格保持在1175的水平。于是,

□ 收取金额为4的红利

□ 通过以1175向买方交割指数,清算期货空头

□ 偿还1186.31(1175×1.009624)的贷款(记住,60天的利率为0.9624%)

净收益为[1188+4]-1186.31=5.69。即,套利者在没有任何风险或未进行任何投资的情况下“赚取”了5.69个指数点数,或48个基点(5.69/1175)。这种活动将会继续下去,直至期货价格趋同于公平价值为止。

指数在清算日的清算价格水平并不重要。我们可以通过分开处理期货头寸和股票头寸,清晰地说明这点。期货头寸生成了原始期货价格与清算价格的1188-1175的差额,它等于13个指数点数。股票多头仅赚取了红利,而没有任何资本利得。股票头寸的融资成本为11.31,期货空头与股票多头的综合净收益为13(期货)+4(股票)再减去11.31的融资成本,结果为5.69的净收益。现在,让我们考虑假如清算日的即期价格处于其他水平,那么将会发生什么。表28.7显示了该套利的现金流。我们可以从结果看到,无论即期价格如何变化,套利利润都会得以保全。

假如实际期货价格低于公平价值,期货合约的价值将被低估。套利者会购买期货合约、卖空或出售基础股指、贷出股指出售收入并持有头寸,直至期货合约回复至公平价值或在清算日被加以清算为止。例如,假如我们假设实际期货价格为1180,那么下列头寸将导致无风险套利:

□ 以1180购买价值被低估的期货

□ 以1175出售或卖空股指并归集收入

□ 以6%的利率贷出股票交易收入

在这里,头寸也可在清算日被加以抛售,而对套利者没有任何风险。这时,期货的清算价格将等于即期价格。在这种情形下,无论指数的清算价格如何,套利也都会得以保全。表28.5显示了一个清算价格结果的样本。无论股市的走向如何,下列程序都将适用于套利:

□ 通过接受期货的股指交割,清算股票空头

□ 支付4个指数点数的指数红利

□ 从贷款获取还款收入(记住,这段时期内的利率为0.9624%)。

表28.5 套利现金流

定价过高的期货*

*以1188卖空期货

定价过低的期货*

*以1180购买期货

在这个例子中,套利者在没有任何风险或未进行任何投资的情况下“赚取”了20个基点(2.31/1175),或2.31个指数点数。这种活动将会继续下去,直至期货价格趋同于公平价值为止。

我们还可基于具有已知红利收益率的证券用数学表达理论期货价格。对于在期货合约期限内支付固定红利的股票而言,这种模型表达方式是恰当的。这可以适用于基础工具为由大量股票组成的股指的股指期货合约。我们不是计算每只股票的红利,而是计算累积红利或加权平均红利,这产生了固定并且已知的红利收益率。我们对持有成本定价模型加以修正,以反映红利的行为。这可以用下列等式表达:

F(t,T)=S(t)×[1+R(t,T)-Y(t,T)]

其中,Y(t,T)为基础股指在期货合约期限内的红利收益率,F(t,T)、S(t)和R(t,T)的定义与前面相同。

例如,假如股指的即期价格为1175,借款利率为6%,距清算日的时间为60天,年红利收益率为1.38%,那么理论期货价格可以用下列方法计算:

Y=(1+0.0138)60/365-1=0.002256或0.2256%

R=(1+0.06)60/365-1=0.009624或0.9624%

F(t,60)=1175×[1+0.009624-0.002256]=1183.66

在实践中,我们必须切记利用合约期限内的借款利率和红利收益率,而不是年利率。在本例中,前面概述的套利条件仍然成立。尽管模型的表述不同,但我们仍可以得出相同的结果。当实际期货价格偏离期货定价模型所暗示的理论价格时,套利将会成为可能。无风险套利利润的存在将会吸引套利者。

在实践中,有数个因素可能会违反期货定价模型的假设。由于这些因素,套利的开展具有一定程度的不确定性,期货价格的公平价值不是单一的价格,而是一个在无套利区间上下有一个价格上限和价格下限的价格范围。此外,各种假设的违反还可能会导致定价错误和风险,这可能会减少套利机会。

当可行并且活跃的套利机制存在时,期货价格应会趋向于公平价值。套利活动只会在由交易成本和其他成本、不确定的现金流以及参与者的不同借款利率和贷款利率所确定的上下限以外发生。即期价格与期货价格的价差(它被称为基差)的波动性,是影响公平价值之变量的变化所导致的定价错误引起的。

定价的实践问题产生了一个价格范围。这意味着基差的变化不一定会为套利者提供利润动机。套利者在股票期货市场中是从美元利润的角度进行观察的,但也可以用利率来进行考虑。在持有成本定价公式中假设的借款利率和融资利率是相等的。然而,在实践中,借款利率几乎总是高于贷款利率。因此,根据使用者面临的借款利率和贷款利率,模型将会产生不同的价值。每个期货价格都会对应于一个利率。我们可以转换这个公式,以对期货价格所隐含的利率求解,这个利率被称为隐含期货利率。对每个市场参与者而言,其各自的借款和贷款利率及交易成本都定义了一个理论公平价值范围。

OTC股票衍生工具

投资银行可以单独提供某个OTC股票衍生工具,或将之作为结构性产品的一部分。结构性产品牵涉到将标准期权或异型期权、股票互换或股票关联债券以任何组合打包成单个产品,以符合投资者的风险/收益目标。即便是在投资者可以投资于现货工具的情况下,结构性产品也可能代表了在现货市场以外的另一个选择。

OTC股票衍生工具的三个基本成分是OTC期权、股票互换和股票关联债券。这些成分提供了各种产品结构,以帮助投资者制定和实施应对不断变化的金融世界的投资策略。迅速变化的投资气候已在根本上改变了投资者对利用衍生产品的态度。这不再是投资者从利用OTC衍生工具能够获得什么好处的问题,而是投资者如果回避这个市场将会损失多少收益的问题。OTC衍生工具可以帮助投资者削减成本、多元化、对冲、配置资产和管理风险。

在提供产品概观以前,让我们先考察对家风险。对在交易所上市的衍生产品而言,由于交易所的附属清算所担任了清算功能,因此对家风险或信用风险极低。然而,在OTC产品中则存在对家风险。对于双方都必须履行义务的交易头寸而言,交易双方都暴露于对家风险中。OTC市场在双方的合约中包含了各种条款以解决信用风险问题。这些条款包括轧差安排、头寸限制、抵押物的利用、息票调整(recouponing)、信用启动事件和衍生产品公司(Derivatives PrOduct Companies,DPC)的创建。

交易双方在主协议中利用轧差安排,它规定了在违约发生时,损失底线是在双方的所有合约中所欠的净额。合约还可根据某一对家的头寸的累积性质和信用资质,对其施加头寸限制。随着OTC市场的发展,客户的信用资质已变得更为多样化。因此,交易商要求一些对家以流动性较好的短期信用工具提供抵押物。息票调整牵涉到定期改变息票,以使头寸的逐日盯市价值为零。对长期OTC协议而言,信用启动事件条款使交易商能够在对家的信用评级下降至投资级以下时,以现金方式清算头寸。最后,交易商还以独立公司主体的形式建立了DPC,以维持对OTC产品定价的竞争力至关重要的高信用评级。

OTC期权

OTC期权可以被划分为第一代和第二代期权。后者被称为异型期权。我们将在下面的小节中描述这两类OTC期权。

第一代OTC期权

第一代基本类型的OTC期权或是延伸现有上市期权的标准化结构,或是创建基于没有上市期权或期货的股票、股票组合或股指的期权。因此,OTC期权最先被用以修正上市期权的一个或多个特征:执行价格、期限、规模、执行类型(美式或欧式)和交割机制。这些条件被量身定制,以符合投资者的具体需求。例如,执行价格可以在任何水平;到期日可以在任何时间;合约可以具有任何规模;执行类型可以是美式或欧式的;基础工具可以是股票、股票组合、股指或外国股指;清算方式可以是实物交割、现金交割或两者的组合。

显示OTC期权可以如何不同于上市期权的一个例子是亚洲期权。上市期权在执行时间的结构上可以是欧式或美式的。亚洲期权是收益支付取决于期权期限内的基础工具平均即期价格的期权。由于这个计算平均价格的程序,即期价格的波动性被降低了。因此,亚洲期权比类似的欧式或美式期权更为廉价。

第一代OTC期权为上市期权不能提供解决方案的投资情形提供了灵活的解决方案。例如,利用OTC市场的对冲策略使投资者能够在特定期限内实现量身定制的总风险保护。第一代OTC期权使投资者能够通过量身设计执行价格和期限、并选择任何基础股票证券或证券组合,微调其传统的股票投资策略。如今,投资者可以通过量身设计的对冲策略改进风险管理,或通过量身设计的同时购买股票和出售期权(buy writes)提高收益率。此外,投资者还可以在不需要持有外国股票的情况下对之进行投资,并在不需要卖空股票的情况下从某个行业的趋势逆转获利。

异型期权:第二代OTC期权

第二代OTC股票期权包括一组具有比标准的美式或欧式买权和卖权更为复杂的收益特征的产品。这些第二代期权有时被称为“异型”期权,它们在本质上是附有特定收益支付规则的期权。(4)异型期权结构可以单独创建,也可以作为更大的融资工具组合的一部分,如作为债券发行的附属产品。

一些OTC期权结构是路径相依的,这意味着期权的价值在一定程度上依赖于基础资产在期权期限内的价格变化模式。事实上,一些期权(如障碍期权)的存续取决于这种价格变化模式。路径相依期权的其他例子包括亚洲期权、回顾型期权和重设期权。另一组OTC期权结构具有与阶梯函数类似的性质。它们在特定条件得以满足时具有固定的收益。这种期权的例子包括数字期权(或二元期权)和条件期权。第三组期权被归类为多变量期权,因为其收益与多种基础资产相关。这组期权的例子包括各种彩虹期权,如价差期权和一篮子期权。

竞争激烈的做市商如今已预备好为投资者提供类型广泛的衍生产品,以满足投资者的特定要求。这个市场在股票方面发展最为迅速的部分是具有期权型特征的基于主要股指和股票组合的产品。

股票互换

股票互换是交易双方在指定时期内定期交换现金流的协议,其中至少有一方的现金流付款与某个股指、股票组合或个股的表现相关。在标准或普通的股票互换中,一方同意向另一方支付某个股指的总收益率,并获取另一种资产的总收益率或固定(或浮动)利率。所有的现金流付款都以一个固定的名义金额为基础,并且现金流是在一个固定时期内支付的。

股票互换结构十分灵活,其期限从数个月跨至10年不等。几乎所有资产的收益率都可与另一种资产进行互换,而无需发生在现货市场中的交易成本。无论股票资产如何,现金流支付计划都可以任何货币为单位,并且可以每月、每季、每年或在到期时交换现金流。股票资产可以是任何股指或股票组合,可以任何货币为单位,并且可以是经对冲或未经对冲的。

普通股票互换的变型包括:股票收益率与外国股指相关联的外国股票互换;为消除外汇风险设计的外汇对冲互换;只有在股指上升时才支付股指现金流付款的买权互换(由于买权保护,股指下降不会导致获取股票收益率的一方向另一方支付现金流)。

图28.3显示了一个基本的互换结构。在这种情形下,投资者拥有一种收益率为LIBOR加一个利差的短期信用工具。接着,投资者加入一个互换,用LIBOR加利差换取股指的总收益率。对家支付指数的总收益率并获取LIBOR加利差。假设股指为日经225指数,美国投资者可用以美元为单位的LIBOR加利差换取以日元或美元为单位的日经指数总收益率的现金流。指数可以是任何外国或国内股指。假如互换中的融资工具产生的收益率高于LIBOR,那么我们还可设计产生丰厚收益的互换。

图28.3 股票互换

股票互换的应用十分广泛,包括资产配置、进入外国市场、提高股票收益率、对冲股票风险和合成卖空股票。

股票互换的一个例子是一方同意每季向投资者支付S&P500指数的总收益率,以换取美元LIBOR的1年期协议。投资者将支付LIBOR加利差×91/360×名义金额。这类股票互换在经济上等价于以LIBOR加利差为S&P500指数的多头融资。利用互换的好处包括没有交易成本、没有营业税或红利代扣所得税,以及没有相对指数的跟踪误差或基差风险。

无论股票互换的结构如何,其基本机制都是相同的。然而,交换现金流付款的规则可能会有所不同。例如,一位希望利用国外市场进行多元化的美国投资者可以加入一笔互换并(根据其投资目标)在对冲外汇的基础上交换现金流付款。假如其投资目标是减少美国股票的风险暴露并增加日本股票的风险暴露,那么他可以设计一个用S&P500指数的总收益率换取日经225指数的总收益率的互换。然而,假如其投资目标是进入日本股票市场,那么他可以设计一个用LIBOR加利差换取日经225指数的总收益率的互换。这是利用国外市场进行多元化的一个例子,现金流可以日元或美元为单位。加入股票互换以实现国际多元化的好处是:投资者的风险暴露没有跟踪误差、投资者不发生营业税、托管费、代扣费,以及与进入或退出市场相关的市场影响成本。这种互换在经济上等价于持有日经225指数多头并以固定的汇率和LIBOR加利差为之融资。

【作者信息】:博士、QuantCast公司执行总裁 博士、CFA、耶鲁大学管理学院金融学兼职教授

随便看

 

离鸟网收录3541549条中英文词条,其功能与新华字典、现代汉语词典、牛津高阶英汉词典等各类中英文词典类似,基本涵盖了全部常用中英文字词句的读音、释义及用法,是语言学习和写作的有利工具。

 

Copyright © 2004-2024 vtrois.com All Rights Reserved
更新时间:2026/4/20 11:09:11