详见HG2-146-65塑料耐油试验方法。将试样浸入油中,经一定时间硬质材料以吸油率、软质材料以拉伸性能的改变来评定耐油性能。
(一)吸油率的测定
模塑试样为直径50±1mm,厚度3±0.2mm的圆片。
板、片试样为50×50±1mm,厚度为原厚的方片。浸油前试样于50±2℃的烘箱中干燥24h后放在干燥器中冷却称重。然后浸入20±2℃的油(产品标准中规定的油)中24h,取出擦净表面的油、称重。按下式计算试样的吸油率:

式中 D——吸油率(%)
W1——试样浸油前的重量(g)
W2——试样浸油后的重量(g)
(二)拉伸性能的测定
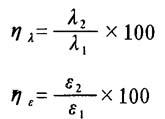
每种样品需分别制取两组供测试样,一组在20±2℃的油中浸泡24h,然后按拉伸试验方法分别测定两组试样的拉伸性能。按下式分别计算拉伸强度残留率ηλ(%)和断裂伸长率残留率ηε(%)。

式中 λ1——未浸油试样的拉伸强度(kgf/cm2)
λ2——浸油试样的拉伸强度(kgf/cm2)
ε1——未浸油试样的断裂伸长率(%)
ε2——浸油试样的断裂伸长率(%)