网站首页  词典首页


请输入您要查询的字词:

 

字词 羧甲基纤维素钠
类别 中英文字词句释义及详细解析
释义

羧甲基纤维素钠


别名 CMC

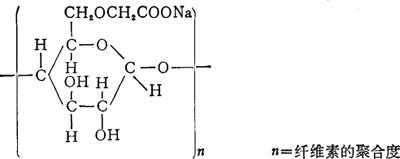
结构式

性能 白色纤维状或颗粒状粉末,无臭、无味,有吸湿性。其吸湿性随羟基的醚化度而异。易溶于水及碱性溶液形成透明粘胶体,水溶液对热稳定,水溶液的粘度随pH值、聚合度而异,随温度的升高而降低。不溶于乙醇、乙醚、丙酮等有机溶剂。

质量规格 GB1904-80

外观为白色或微黄纤维状粉末。

技术指标应符合下列要求

用作增稠剂,其使用范围和最大使用量按GB2760-86

用于牙膏生产的质量规格(企业标准)

用途 用作合成洗涤剂配方中的抗污垢再沉积剂,食品工业的增稠剂,牙膏膏体的粘合剂、增稠剂。在化妆品方面,本品可代替或和天然的水溶性胶质混合使用,可作为胶合剂、增稠剂、悬浮剂、乳化稳定剂等用于各种化妆品中。

包装贮运 用内有一层食品用聚乙烯塑料袋的纸桶或三层牛皮纸袋包装。贮存清洁干燥库房中,在贮运中不得与有毒物一起堆放,避免与水接触,注意包装密封。

国内生产厂 上海赛璐珞厂、陕西惠安化工厂、江苏太仓精细化工厂、北京南苑化工厂、天津助剂厂、黑龙江牡丹江化工厂、辽宁沈阳精制棉厂、吉林四平第一化工厂、江苏南通化工厂、江苏徐州气体厂。

随便看

 

离鸟网收录3541549条中英文词条,其功能与新华字典、现代汉语词典、牛津高阶英汉词典等各类中英文词典类似,基本涵盖了全部常用中英文字词句的读音、释义及用法,是语言学习和写作的有利工具。

 

Copyright © 2004-2024 vtrois.com All Rights Reserved
更新时间:2026/4/18 10:59:26