网站首页  词典首页


请输入您要查询的字词:

 

字词 羧甲基纤维素钠
类别 中英文字词句释义及详细解析
释义

羧甲基纤维素钠


别名 纤维素胶、改性纤维素、CMC

编码 GB 20.003;INS 466

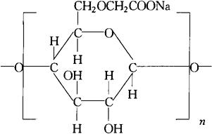
化学结构 天然高分子化合物,由2个葡萄糖组成的多个纤维二糖构成。纤维素大分子的每个葡萄糖中有3个羟基,其羟基由羧甲基醚化。

如果平均一个羟基参与反应,醚化度DS=1,最大醚化度DS=3,平均醚化度一般为0.4~1.5。下图为DS=1的CMC的理想单元结构。

相对分子质量≥17000

性状 白色或微黄色粉末,无臭,无味,易溶于水成高粘度溶液,不溶于乙醇等多种溶剂。在水中的分散度与醚化度和其相对分子质量有关。1%水分散液的pH为6.5~8.5。

羧甲基纤维素钠溶液粘度受其相对分子质量、浓度、温度及pH的影响,且与羟乙基或羟丙基纤维素、明胶、黄原胶、卡拉胶、槐豆胶、瓜尔胶、琼脂、海藻酸钠、果胶、阿拉伯胶和淀粉及其衍生物等有良好的配伍性(即协同增效作用)。

pH7时,羧甲基纤维素钠溶液的粘度最高,pH4~11时,较稳定。

以碱金属盐和铵盐形式出现的羧甲基纤维素可溶于水。二价金属离子ca2+、Mg2+、Fe2+可影响其粘度。重金属如银、钡、铬或Fe3+等可使其从溶液中析出。如果控制离子的浓度,如加入螯合剂柠檬酸,便可形成更粘稠的溶液,以至于形成软胶或硬胶。

制法

(1)用氢氧化钠处理纸浆,与一氯代醋酸钠溶液反应得粗制品,再用酸和异丙醇精制而得。

(2)把纸浆浸渍在一氯代醋酸钠溶液中,加碱精制而成。

质量标准

鉴别方法

取本品2g,加热水100mL使呈胶状,冷却至室温。

(1)取胶液30mL,加盐酸3mL,应产生白色沉淀。

(2)取胶液50mL,加1%硫酸铜溶液10mL,应产生绒毛状淡蓝色沉淀。

毒理学依据

1.LD50 大鼠口服27g/kg(bw)。

2.GRAS FDA-21CFR 173.310;182.1745(1985)。

3.ADI 无需规定(FAO/WHO,1994)。

使用 增稠剂、悬浮剂、稳定剂、保形剂、成膜剂、膨化剂和保鲜剂。

1.使用注意事项 如遇到偏酸高盐溶液时,可选择耐酸抗盐型羧甲基纤维素钠,或与黄原胶复配,效果更佳。

2.使用范围与使用量

(1)我国《食品添加剂使用卫生标准》(GB 2760-1996)规定:用于饮料(不包括固体饮料),1.2g/kg;方便面,5.0g/kg;雪糕、冰棍、糕点、饼干、果冻和膨化食品,根据生产需要适量使用。

(2)FAD/WHO(1984)规定:用途及限量为沙丁鱼、鲭鱼罐头,20g/kg(单用或与其它增稠剂合用);即食肉汤、羹,4000mg/kg;酪农干酪、掼打用稀奶油,5g/kg,融化干酪,8g/kg;增香蛋黄酱,5000mg/kg(单用或合用)。

(3)实际使用参考:

①棉花糖:因CMC既可防止制品脱水收缩,又可使结构膨松,当与明胶配伍时,尚能显着提高明胶粘度。应选高分子量CMC(DS1.0左右)。

②冰淇淋:CMC在较高温度下粘度较小,而冷却时粘度升高,有利制品膨胀率的提高且方便操作。应选用粘度250~260mPa·s CMC(DS0.6左右),参考用量0.4%以下。

③果汁饮料、汤汁、调味汁、速溶固体饮料;由于CMC具良好流变性(假塑性),口感爽快,同时其良好的悬浮稳定性使制品风味和口感均一。对酸性果汁要求取代度均匀性好,若再复配一定比例的其它水溶性胶(如黄原胶),则效果更好。应选高粘度CMC(DS0.6~0.8)。

④速食面:加入0.1% CMC,易控制水分,减少吸油量,且可增加面条光泽。

⑤脱水蔬菜、豆腐皮、腐竹等脱水食品:复水性好,易水化,并有较好的外观。应选用高粘度CMC(DS0.6左右)。

⑥面条、面包、速冻食品:可防止淀粉老化、脱水、控制糊状物粘度。若用魔芋粉、黄原胶和某些其它乳化剂、磷酸盐合用效果更佳。应选用中粘度CMC(DS0.5~0.8)。

⑦橘汁、粒粒橙、椰子汁和果茶:因它有良好的悬浮承托力,若与黄原胶或琼脂等配伍更好。应选用中等粘度CMC(DS0.6左右)。

⑧酱油:添加耐盐性CMC调节其粘度,可使酱油口感细腻、润滑。

随便看

 

离鸟网收录3541549条中英文词条,其功能与新华字典、现代汉语词典、牛津高阶英汉词典等各类中英文词典类似,基本涵盖了全部常用中英文字词句的读音、释义及用法,是语言学习和写作的有利工具。

 

Copyright © 2004-2024 vtrois.com All Rights Reserved
更新时间:2026/4/18 19:02:28