网站首页  词典首页


请输入您要查询的字词:

 

字词 羧甲基淀粉钠
类别 中英文字词句释义及详细解析
释义

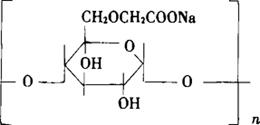
羧甲基淀粉钠


结构式:

一、羧甲基淀粉钠的鉴别

1.操作步骤

1.1 取0.1%本品1mL,加10mg/100mLHCl5滴和碘试液(14g碘溶于含有36g碘化钾的100mL水中,加盐酸3滴,用水稀释至1000mL)1滴,混匀后应呈蓝色至红紫色。

1.2 0.2%本品溶液5mL,加5%CuSO4溶液5mL,有蓝色沉淀出现。

1.3 取0.2%本品溶液1mL,加5mL铬变酸试液(将0.5g铬变酸悬浮于50mL硫酸中,离心取上清液,临用时配制),水浴加热10min后应呈紫至紫红色。

1.4 本品灰化所得的残渣钠盐试验呈阳性。

二、食品中羧甲基淀粉钠的含量测定

见本章第三节“二、食品中羧甲基纤维素钠的含量测定”,将测定方法中“羧甲基纤维素钠”改为“羧甲基淀粉钠”。

随便看

 

离鸟网收录3541549条中英文词条,其功能与新华字典、现代汉语词典、牛津高阶英汉词典等各类中英文词典类似,基本涵盖了全部常用中英文字词句的读音、释义及用法,是语言学习和写作的有利工具。

 

Copyright © 2004-2024 vtrois.com All Rights Reserved
更新时间:2026/4/18 13:03:51