网站首页  词典首页


请输入您要查询的字词:

 

字词 羟丙基二淀粉磷酸酯
类别 中英文字词句释义及详细解析
释义

羟丙基二淀粉磷酸酯


编码 GB 20.016;INS 1442

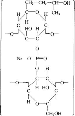
化学结构

性状 白色粉末,无臭,无味,易溶于水,不溶于有机溶剂。在醚化的基础上,适当地交联所得到的HPDSP,其膨润力、透明度仍显着高于原淀粉。

制法在碱性条件下,淀粉与环氧丙烷进行醚化,再与磷酸交联剂进行酯化反应制得。

质量标准 FCC(Ⅳ):除丙氯醇≤0.0003%外,其余同羟丙基淀粉。

鉴别方法 本品呈一般食用变性淀粉反应和磷酸盐反应。

1.一般食用变性淀粉反应 同羟丙基淀粉鉴别方法1、2、3。

2.磷酸盐反应 参见磷酸三钙。

毒理学依据

1.GRAS FDA-21CFR172.892。

2.ADI 无需规定(FAO/WHO,1994)。

使用 增稠剂、稳定剂。

使用范围及使用量

(1)我国《食品添加剂使用卫生标准》(GB 2760-1996)规定:用于冰淇淋,最大添加量为0.3g/kg;果冻,2.5g/kg。

(2)FAO/WHO规定:可单用或与其它增稠剂合用。用于蛋黄酱,5g/kg;罐装胡萝卜(产品含有奶油或其它油脂)、发酵后经加热处理的调味酸奶及其制品,20g/kg;罐装沙丁鱼和沙丁鱼类产品,20g/kg;罐装鲐鱼和竹荚鱼,60g/kg(仅用于填料);速冻鱼条和鱼块(仅指用面包粉或面包拖料包裹),以GMP为限。

随便看

 

离鸟网收录3541549条中英文词条,其功能与新华字典、现代汉语词典、牛津高阶英汉词典等各类中英文词典类似,基本涵盖了全部常用中英文字词句的读音、释义及用法,是语言学习和写作的有利工具。

 

Copyright © 2004-2024 vtrois.com All Rights Reserved
更新时间:2026/4/20 15:39:23